Abstract
Wine grapes are an important crop in regions such as the Western Cape and the Lower Orange River in the Northern Cape. However, wineries produce large volumes of poor quality wastewater, particularly during harvest. Since water resources are limited, wine grape producers will have to use them judiciously to produce grapes. It is also important that the sustainable use of alternative water sources for vineyard irrigation be investigated. The primary objective of the study was therefore to assess the fitness for use of winery wastewater for irrigation of different soil types with varying rainfall quantities and leaching levels on vineyard performance in terms of yield and quality under field conditions, as well as measuring the change in mainly Na and K status of soils. Experimental plots were selected in three selected production areas in the Western Cape Province, namely the Coastal, Breede River and Olifants River regions. The specific locations were selected due to their vast differences in mean annual rainfall. Within each region, two plots were selected which differed in soil texture. Results of the textural analyses of the selected soils showed that there was a substantial difference in their textural properties. It was therefore expected that they would respond differently to irrigation with winery wastewater. Given that it would be impractical to augment winery wastewater to a pre-determined chemical oxygen demand (COD) level before irrigation, a more practical approach to irrigating the experimental plots was applied. In this regard, the in-field fractional use (augmentation) of winery wastewater with raw water for irrigation was used.
Introduction
Wine grapes are an important crop in regions such as the Western Cape and the Lower Orange River in the Northern Cape. However, wineries produce large volumes of poor quality wastewater, particularly during the harvest period. On the other hand, the Western Cape has recently experienced a drought. In August 2017, the level in the Theewaterskloof Dam was 25.1%.1 Therefore, the City of Cape Town had to introduce water restrictions and at one stage, residents were subjected to Level 5 water restrictions. This meant that residents were allocated 87 L of water per person per day. More recently, as of 19 August 2019 the level of water in the Theewaterskloof Dam was 81.7%, and water restrictions were at Level 1. As of 5 October 2020, the dams in the Western Cape were filled to capacity. Taking the afore-mentioned into consideration, it is clear that the Western Cape has experienced severe drought recently, which means that water resources for urban and agricultural uses are extremely limited. Wine grape producers will therefore have to use water resources judiciously to produce grapes.2 In addition to this, it is important that the sustainable use of alternative water sources for vineyard irrigation be investigated.
The use of augmented winery wastewater was investigated in a previous Water Research Commission (WRC), ARC and Winetech-funded project.3 However, this project only addressed the suitability of using winery wastewater for grapevines in a sandy soil under one set of climatic conditions. Results of a pot experiment showed that soil type and winter rainfall have a pronounced effect on salt accumulation where winery wastewater is used for irrigation.4 Therefore, a field study was necessary to investigate the use of winery wastewater for vineyard irrigation to determine the sustainability of such a practice in other environments. Since climatic conditions range considerably in the Western Cape, it would be possible to investigate the effect of climatic factors such as magnitude of rainfall on the possibility of using winery wastewater for vineyard irrigation. Since it is well known that soil type can influence nutrient element adsorption and accumulation, it would also be possible to investigate different soil types within the same climatic zone.
In this specific article, the plot selection, augmentation and climatic conditions will be presented. The primary objective of the project was to assess the fitness for use of winery wastewater for irrigation of different soil types with varying rainfall quantities and leaching levels on vineyard performance in terms of yield and quality under field conditions, as well as measuring the change in mainly Na and K status of soils. Furthermore, an objective was to develop appropriate management guidelines for using augmented winery wastewater as a resource for vineyard irrigation and to refine regulations for authorisation of augmented winery wastewater for irrigation of vineyards.
Selected experimental plots
Experimental plots were selected in three selected production areas in the Western Cape Province, namely the Coastal, Breede River and Olifants River regions (Figure 1 and Table 1). The specific locations were selected due to their vast differences in climate and in particular the differences in mean annual rainfall of each region. The Coastal region represents a more temperate climate that also has higher rainfall. Vineyards were also selected in production regions that had lower rainfall and warmer climatic conditions, namely the Breede River and Lower Olifants River regions. Within each production region, two plots were selected which differed primarily on the basis of soil texture. The specific soils were selected to represent soils commonly found within each region. The two experimental plots within each region were selected to be located as close to each other as possible to minimise spatial variability. They were on the same farm for the plots in the Coastal and Breede River regions, but in the Lower Olifants River region, the experimental plots were on separate farms.
TABLE 1. Experimental plots selected for determining the effect of the in-field fractional use (augmentation) of winery wastewater with raw water for vineyard irrigation on soil properties and grapevine responses in different climatic regions according to the Winkler index.5


FIGURE 1. Localities of the experimental plots in the (A) Coastal, (B) Breede River and (C) Lower Olifants River regions where grapevines were irrigated using the in-field fractional use (augmentation) of winery wastewater with raw water for vineyard irrigation.
Both experimental plots in the Coastal region formed part of a newly planted commercial Vitis vinifera L. cv. Cabernet Sauvignon/US8-7 vineyard which was established in September 2017 (Table 2). The plots in the Breede River region were part of a commercial V. vinifera L. cv. Shiraz/SO4 vineyard which was established in 2001. In the Lower Olifants River region, a V. vinifera L. cv. Shiraz/Ramsey vineyard, established in 2012, was selected near the Lutzville Winery to represent the deep, sandy soil which is typically found in the region. At Spruitdrift, the experimental plot was a V. vinifera L. cv. Cabernet Sauvignon/99R vineyard established in 2001 in a shallow, sandy loam soil overlying Dorbank. Each of the six experimental plots compromised of two rows of 10 grapevines each, i.e. 20 experiment grapevines per plot. A buffer row of grapevines was located on the one side of each of the experiment rows and two buffer grapevines at each end that also received the in-field fractional use (augmentation) of winery wastewater with raw water for vineyard irrigation. Based on general plant spacing in South African vineyards, each experimental plot covered approximately 80 m2. They were managed according to the grower’s normal viticultural practices in terms of canopy management. No fertilisers were applied with the exception of 20 kg/ha LAN in the winter of 2018 in the Coastal region. Weeds were removed routinely by means of chemical and mechanical control.
TABLE 2. Vineyard characteristics, including scion cultivar, rootstock, plant spacing, planting date and trellis system of the experimental plots in the Coastal, Breede River and Lower Olifants River regions where grapevines were irrigated using the in-field fractional use (augmentation) of winery wastewater with raw water.

Soil texture
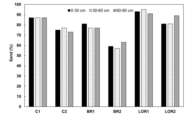
In terms of soil texture, clay content in the 0 – 30 cm soil layer ranged from 5 – 27% (Figure 2), and in the 30 – 60 cm soil layer ranged from 5 – 29%. In the 60 – 90 cm soil layer, clay content ranged from 3 – 25%. The silt content in the 0 – 30 cm soil layer ranged from 5 – 27% (data not shown). The silt content in the 30 – 60 cm soil layer ranged from 0 – 14% (data not shown). In the 60 – 90 cm soil layer, silt content ranged from 4 – 12% (data not shown). The sand content in the 0 – 30 cm soil layer ranged from 59 – 95% (Figure 3), and in the 30 – 60 cm soil layer ranged from 57 – 91%. In the 60 – 90 cm soil layer, the sand content ranged from 63 – 91%. The lighter textured soil in the Coastal region was classified as a loamy sand, whereas the heavier textured soil was classified as a sandy loam to sandy clay loam. In the Breede River region, the lighter textured experimental plot was characterised as a loamy sand to sandy loam. The heavier textured soil was classified as a sandy clay loam. The two plots in the Lower Olifants River region were both sandy. However, one was a deep, sandy soil of aeolian origin, whereas the other had a shallow surface layer of sandy loam soil overlying Dorbank.

FIGURE 2. The clay content in the 0 – 30 cm, 30 – 60 cm and 60 – 90 cm soil layers at the different experimental plots.

FIGURE 3. The sand content in the 0 – 30 cm, 30 – 60 cm and 60 – 90 cm soil layers at the different experimental plots.
Procedure for the in-field fractional use (augmentation) of winery wastewater with raw water for vineyard irrigation
Experience from a previous study3 showed that it would be impractical to augment winery wastewater to a pre-determined level of chemical oxygen demand (COD) before each irrigation, i.e. specifically at the commercial level.6 This is mainly because it would be difficult to monitor the winery wastewater quality continuously in order to adjust the volumes of raw and wastewater to obtain a required level of augmentation. Therefore, a more practical approach to irrigating vineyards with winery wastewater was applied in this study. In this regard, the in-field fractional use (augmentation) of winery wastewater with raw water for the irrigation of the experimental plots was used. According to this approach, grapevines were irrigated as follows. For each irrigation, 50% of the irrigation requirement was applied as undiluted winery wastewater (Figure 4). Raw water was applied for the other 50% of the irrigation requirement. All vineyards in the study were irrigated with micro-sprinkler irrigation. This was to ensure that the full soil surface was wetted, as well as reduce the risk of clogging of the irrigation pipe. It should be noted that experimental grapevines were irrigated so that optimum wine quality would be obtained. Therefore, stem water potential (ΨS) thresholds for optimum wine quality for the specific cultivars were used to set up the irrigation refill lines. Consequently, grapevines would therefore be under-irrigated rather than over-irrigated, because better wine quality is obtained when grapevines receive less water.6

FIGURE 4. Schematic illustration of in-field fractional use (augmentation) of undiluted winery wastewater with raw water when grapevines in experimental plots were irrigated with wastewater followed by raw water.
Climatic conditions
As expected, the rainfall in all the regions increased from summer to winter (Figure 5). Furthermore, the winter rainfall was higher in the Coastal region than in the other regions. Most of the rainfall occurred from May to August. The experimental plots in the Breede River region also received appreciable amounts of rainfall during some of the summer months. The rainfall at the experimental plots in the Lower Olifants River region was low. Given these prevailing conditions, as well as the sandier soils in this particular region with their lower water holding capacities, it was expected that the grapevines growing in this region would require more irrigation during the growing season than the other two regions.

FIGURE 5. Monthly rainfall during the (A) 2017/18, (B) 2018/19, (C) 2019/20 and 2020/21 growing seasons at the experimental plots where grapevines were irrigated via the in-field fractional use (augmentation) of winery wastewater with raw water.
As expected, the winter (June to August) rainfall was substantially higher in the Coastal region than in the other regions (Figure 6). Given the extreme drought experienced in the Western Cape during the period of the study, the winter rainfall was generally lower than the long-term mean (LTM) in the first two years of the study all the regions. In the last year of the study, the winter rainfall was generally more or equal to the LTM.

FIGURE 6. Total rainfall in winter, i.e. June to August, for all four growing seasons at the experimental plots where grapevines were irrigated via the in-field fractional use (augmentation) of winery wastewater with raw water.
Conclusions
Results of the textural analyses of the selected soils showed that there was a substantial difference in their textural properties. In this regard, it was expected that they would respond differently to the in-field fractional use (augmentation) of winery wastewater with raw water for vineyard irrigation. Furthermore, the winter rainfall varied considerably in the production regions and it was expected that the grapevines growing in the Lower Olifants River region would require more irrigation during the growing season than the other two regions.
Irrigation application, water quality, soil and grapevine responses, as well as wine quality, will be presented in subsequent articles.
Acknowledgements
- This report is an output of WRC Project K5/2561, entitled “Use of winery wastewater as a resource for irrigation of vineyards in different environments”. This solicited project was initiated, funded and managed by the WRC. The project was co-funded by Winetech and ARC.
- ARC for infrastructure and resources.
- Staff of the Soil and Water Science division at ARC Infruitec-Nietvoorbij for their assistance, and in particular Mr. F. Baron for his dedicated technical support.
- Backsberg, Madeba, Lutzville Winery and Spruitdrift Winery for permitting the project team to work at their wineries and in their vineyards. Colleagues at the wineries for their assistance and support.
- W. Smit from Netafim for advice and designing the irrigation systems.
References
- Howell, C.L., Myburgh, P.A. & Hoogendijk, K., 2022. Use of winery wastewater as a resource for irrigation of vineyards in different environments. WRC Report No. 2651/1/22. ISBN 978-0-6392-0341-6.
- Myburgh, P.A., 2018 (1st ed). Handbook for irrigation of wine grapes in South Africa. Agricultural Research Council, Pretoria, South Africa.
- Myburgh, P.A. & Howell, C.L., 2014. Use of winery wastewater as a resource for irrigation of vineyards in different environments. WRC Report No. 2651/1/22. ISBN 978-1-4312-0591-2.
- Mulidzi, A.R., 2016. The effect of winery wastewater irrigation on the properties of selected soils from the South African wine region. Ph.D. dissertation. Stellenbosch University, Private Bag X1, 7602 Matieland (Stellenbosch), South Africa.
- Le Roux, E.G., 1974. A climate classification for the South Western Cape viticultural areas (in Afrikaans). Thesis, Stellenbosch University, Private Bag X1, 7602 Matieland (Stellenbosch), South Africa.
- Lategan, E.L. & Howell, C.L., 2016. Deficit irrigation and canopy management practices to improve water use efficiency and profitability of wine grapes. WRC Report No. 2080/1/16. ISBN 978-1-4312-0816-6.
For more information, contact Carolyn Howell at howellc@arc.agric.za.
Click here to get your copy of WineLand Magazine.