Abstract
Very little is known about the effects of winery wastewater irrigation on grapevines. However, wineries produce large volumes of poor-quality wastewater, particularly during harvest. If this wastewater could be used to irrigate vineyards with no detrimental impacts on either grapevines or wine, it could become a sustainable alternative water source for vineyard irrigation. Experimental plots were selected in three selected production areas in the Western Cape Province, namely the Coastal, Breede River and Olifants River regions. The specific locations were selected due to their vast differences in mean annual rainfall. Within each region, two plots were selected which differed in soil texture. Grapevines were irrigated with the in-field fractional use (augmentation) of winery wastewater with raw water for vineyard irrigation for four seasons.
At the end of the trial, the cane mass of the deep sand experimental plot in the Lower Olifants River region and the sandy loam plot in the Breede River region were comparable to baseline values. However, the experimental plots of cane mass at the sandy clay loam (Breede River region) and shallow sand (Olifants River region) were lower than baseline values. This suggested that the in-field fractional use (augmentation) of winery wastewater with raw water had adverse effects on the vegetative growth of these grapevines and was likely related to the accumulation of sodium (Na) in grapevine parts. The extremely low yield measured at the shallow sand (Olifants River region) experimental plot was probably due to the region’s very low rainfall due to drought and the excessive amounts of elements applied via the irrigation water, which were not leached. Although wine sensorial quality was not affected by the in-field fractional use of winery wastewater with raw water, wines did not always conform to statutory requirements with regard to their Na content. This was specifically notable in regions with lower rainfall.
Results indicated that winery wastewater can be a beneficial source of alternative irrigation water, particularly in areas where grapevines are normally grown under dryland conditions and during drought. Young grapevines were established successfully with the in-field fractional use (augmentation) of winery wastewater with raw water in the Coastal region. Based on the project results, the authorities should consider possible amendments to the General Authorisation for wineries when using the in-field fractional use (augmentation) of winery wastewater with raw water for irrigation of vineyards.
Introduction
Although extensive literature is available regarding the irrigation of grapevines with saline water,1,2,3,4,5,6,7 very little is known about the effects of irrigation using augmented winery wastewater on grapevines. Recent studies have shown that approximately 3 – 5 m3 of winery wastewater, with high organic load and variable salinity and nutrient levels, is generally produced when a ton of grapes is crushed.8 On the other hand, limited irrigation water supplies could be restricted further in future allocations of irrigation water.9,10 It was previously reported that irrigation of grapevines using winery wastewater diluted up to a maximum chemical oxygen demand (COD) level of 3 000 mg/L did not affect vegetative growth or any of the yield components compared to raw water control.11 There was also no response in element content in the leaves and shoots. Where winery wastewater was used to irrigate two vineyards in California, there was an accumulation of potassium (K) and sodium (Na) where the wastewater had been applied.12 In addition, the leaves of the grapevines receiving the winery wastewater contained more Na and magnesium (Mg) and less K and calcium (Ca) than the control. Unfortunately, no data pertaining to grapevine yield and its’ parameters were presented by the authors.
If winery wastewater irrigation is applied, such as overhead irrigation, contact between irrigation water and bunches is inevitable. Grapevines exposed to smoke between véraison and harvest caused a ‘smoke taint’ in the resulting wines.13 Wines made from grapevines, which are situated near Eucalyptus tree plantations, have also been found to obtain higher Eucalyptus-like or minty characters, which may be obtained from the trees.14,15 If these odours can be transferred from the atmosphere onto or into grapes and the resulting wines, it is also possible that the foul odour of winery wastewater could be transferred onto or into grapes and wine if there is direct contact between the wastewater and the grapes. In a study where grape bunches were deliberately sprayed with diluted winery wastewater, a winery wastewater-like odour was detected in the wines, and their spicy character was reduced.16 This research highlights the importance of avoiding contact between grapes and winery wastewater.
Where Shiraz grapevines were irrigated with sewage water, there were also no differences with regard to wine quality.17 Likewise, although there were slight differences with regard to wine colour and tannin content where winery wastewater was used for vineyard irrigation, there were no differences in the sensorial evaluation of the wines.18 Irrigation of grapevines using diluted winery wastewater did not have detrimental effects on juice characteristics regarding ripeness parameters, ion content and wine sensorial quality.11 Where winery wastewater was used to irrigate two vineyards in California, there was no difference in wines from control and where grapevines were irrigated with winery wastewater.12
If winery wastewater could be used to irrigate vineyards with no detrimental impacts on grapevines or wine, it could be a viable alternative to abstracting raw water from natural resources. Therefore, the objective of this study was to determine the effect of irrigation with in-field fractional use (augmentation) of winery wastewater with raw water on grapevine growth, yield and wine characteristics.
Methods
Details of the plot selection, augmentation, climatic conditions, irrigation application, water quality, nutrient load and soil responses were given previously.19 Briefly, there was a loamy sand (C1) and sandy clay loam (C2) experimental plot in the Coastal region, a sandy loam (BR1) and sandy clay loam (BR2) experimental plot in the Breede River region, as well as a deep sand (LOR1) and shallow sand (LOR2) experimental plot in the Lower Olifants River. Experimental plots were irrigated using the in-field fractional use (augmentation) of winery wastewater with raw water for vineyard irrigation from the 2017/18 to 2020/21 seasons.
Experimental grapevines in the Breede River and Lower Olifants River regions were pruned to two bud spurs in July 2017, and the baseline cane mass per grapevine was determined. Thereafter, to quantify growth vigour in each season, cane mass at pruning (July) was weighed per experimental plot using a hanging balance. The cane mass per experimental plot (kg) was converted to tons per hectare. It should be noted that each of the selected vineyards had an experimental plot that was irrigated with winery wastewater, and this was compared to the rest of the surrounding vineyard block, which acted as the control. The cane mass of the control was also measured in the 2018/19, 2019/20 and 2020/21 seasons.
Grapes were harvested as close as logistically possible to a total soluble solids (TSS) value of 24°B. Ten bunches were randomly picked at harvest to determine berry mass. All bunches of the experimental grapevines of each experimental plot were picked and counted. Grapes were weighed using a top loader mechanical balance to obtain the total mass per experimental plot. The number of bunches per grapevine was calculated by dividing the total number of bunches per experimental plot by the number of experimental grapevines per plot. Grape mass per grapevine (kg/grapevine) was calculated and converted to yield (t/ha).
Wines were made from the grapes of each experimental plot according to the standard procedure for making red wine used by the experimental winery at ARC Infruitec-Nietvoorbij. After seven months, a panel of at least 12 industry experts evaluated the wines sensorially for wine colour, overall intensity, vegetative character, berry character, spicy character, acidity, body, astringency and overall quality. A commercial laboratory analysed the wines for their element content.
Results
Cane mass
Following one season of irrigation with the in-field fractional use (augmentation) of winery wastewater with raw water, cane mass decreased at both experimental plots in the Lower Olifants River region (Figure 1). However, the decline was more pronounced at the LOR2 experimental plot. Cane mass at the BR1 and BR2 experimental plots differed substantially prior to the in-field fractional use (augmentation) of winery wastewater with raw water. The reason for this difference is still uncertain. However, soil compaction due to tractor traffic is more likely to occur at the BR2 experimental plot due to the heavier soil texture. Therefore, the lower vegetative growth may have resulted from restricted root development. Compared to the baseline values, cane mass at both BR1 and BR2 experimental plots remained unchanged after the 2017/18 season. This was to be expected since only two irrigations were applied at these experimental plots during the 2017/18 season.19 Since the grapevines in the Coastal region were only planted in September 2017, baseline cane mass was not determined at these experimental plots prior to the in-field fractional use (augmentation) of winery wastewater with raw water.
Cane mass at pruning was substantially lower in the 2018/19 season compared to the baseline values measured during July 2017 (Figure 1). Cane mass at the LOR1 experimental plot showed a progressive decline since winter 2017. The cane mass at the LOR2 shallow sand experimental plot showed a substantial decline from the baseline value and was also substantially lower than the control. There was a decline in cane mass in July 2019 for the BR1 experimental plot and a substantial decline in the cane mass for the BR2 experimental plot. Furthermore, the cane mass of the BR2 experimental plot was substantially lower than the control. The general decline of cane mass after two seasons of the in-field fractional use (augmentation) of winery wastewater with raw water at the experimental plots was a matter of concern. Since grapevine growth is quite sensitive to adverse environmental conditions, this trend raised questions about the sustainability of using wastewater for irrigation, irrespective of wastewater quality.
Although cane mass at the LOR1 deep sand experimental plot had shown a progressive decline since the start of the project, the application of more water in the 2019/20 season improved cane mass in July 2020 (Figure 1). Cane mass at the LOR2 experimental plot showed a substantial decline from the baseline value, but had started to recover given that there was no in-field fractional use (augmentation) of winery wastewater with raw water at this experimental plot during the 2019/20 season. However, the growth at this particular site was still substantially lower compared to the control. There was a substantial decline in cane mass for the BR1 experimental plot, whereas the cane mass of the BR2 experimental plot was similar to the previous season. The cane mass of the experimental plot at BR2 was still substantially lower than the control.
At the end of the trial in 2021, the cane mass of the LOR1 deep sand and BR1 experimental plots was comparable to baseline values. However, the cane mass at the BR2 experimental plot was lower than the baseline values. This suggested that the in-field fractional use (augmentation) of winery wastewater with raw water adversely affected these particular grapevines. Despite the high amounts of K applied via the in-field fractional use (augmentation), the experimental grapevines did not contain excessive K levels in their leaves (data not shown). However, Na was accumulated in the grapevine leaves of the BR2 experimental plot. Furthermore, this particular experimental plot also had a higher leaf blade Na than the control. This suggested that under the prevailing conditions at this particular climate/soil combination, the amounts of elements applied via the in-field fractional use (augmentation) of winery wastewater with raw water and less effective leaching caused the Na to accumulate in the grapevine. The BR2 experimental plot had substantially higher permanent wood Na levels compared to the control. Given the accumulation of Na in the leaves and permanent wood part of this particular experiment plot, this is a likely explanation for the poor performance of the BR2 experimental plot.
Results indicated that the grapevines at the LOR2 experimental plot had recovered to a certain extent after receiving only raw water for the last two years of the study. This indicated that the grapevines could recover from the detrimental effects that they had incurred from the in-field fractional use (augmentation) of winery wastewater with raw water for the first two seasons of the study.

FIGURE 1. Effect of in-field fractional use (augmentation) of winery wastewater with raw water on pruning mass measured for the (A) deep sand at LOR1, (B) shallow sand at LOR2, (C) sandy loam at BR1, (D) sandy clay loam at BR2, (E) loamy sand at C1, and (F) sandy clay loam at C2 in 2017, 2018, 2019, 2020 and 2021.
Yield components
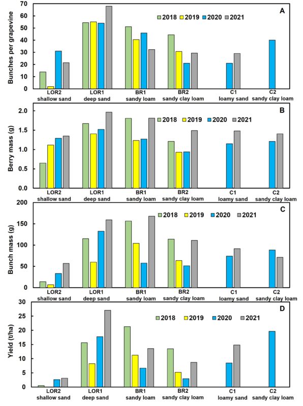
In the 2017/18 season, fertility ranged from 14 to 55 bunches per grapevine at the LOR2 shallow sand and the LOR1 deep sand experimental plots (Figure 2A), respectively. Unfavourable atmospheric conditions probably caused the low fertility at the LOR2 shallow sand experimental plot during bunch initiation in the preceding year. In the 2018/19 season, fertility ranged from 2 to 55 bunches per grapevine at the LOR2 shallow sand and LOR1 deep sand experimental plots (Figure 2A), respectively. The low fertility at the LOR2 shallow sand experimental plot was probably caused by unfavourable atmospheric conditions during bunch initiation in the preceding year, as well as saline soil conditions during winter. At three of the experimental plots, the number of bunches was substantially lower at harvest in 2018 compared to harvest in 2019 (Figure 2A). In the 2019/20 season, fertility amounted to 21 to 54 bunches per grapevine at the C1, BR2 and LOR1 experimental plots, respectively (Figure 2A). The number of bunches was substantially lower at harvest in 2020 compared to the 2018 and 2019 harvests for the BR2 sandy clay loam experimental plot. In the 2020/21 season, fertility amounted to 21 to 68 bunches per grapevine at the LOR2 shallow sand and LOR1 deep sand experimental plots, respectively (Figure 2).
In the 2017/18 season, berry mass ranged from 0.65 – 1.81 g per berry (Figure 2B). In the 2018/19 season, berry mass ranged from 0.93 – 1.40 g per berry. Except for the LOR2 shallow sand experimental plot, the berry mass was lower at harvest in the 2018/19 season compared to the 2017/18 season. In the 2019/20 season, berry mass ranged from 0.94 – 1.52 g per berry. Except for the LOR2 shallow sand experimental plot, the berry mass was lower at harvest in the 2018/19 and 2019/20 seasons compared to the 2017/18 season. Berry mass ranged from 1.33 – 1.97 g per berry in the 2020/21 season (Figure 2B). Although some differences in berry weight were observed at harvest, where different artificial winery wastewaters were used for vineyard irrigation,20 these differences were very small, and no conclusions could be made. Similarly, using undiluted winery wastewater for vineyard irrigation at Oxford Landing had no detrimental effect on berry size.18 In contrast, in a similar study at Angaston by the same researchers, the use of undiluted winery wastewater for vineyard irrigation consistently reduced berry weight substantially. It could be that the quality of the winery wastewater differed between the two sites in that specific study. Mean berry mass at harvest of 1.2 g per berry and 1.5 g per berry is comparable to drip-irrigated Cabernet Sauvignon values in the Breede River valley.21 Where Cabernet is subjected to severe water constraints, i.e. ΨL below 1.6 MPa, berry mass is expected to be about 1 g per berry.22,23 In the case of Shiraz, the mean berry mass at harvest of 1.2 – 1.4 g per berry is comparable to values for drip-irrigated Shiraz in the Breede River valley.24
In the 2017/18 season, lower berry mass reported in Figure 2B reflected in substantially smaller bunches and lower yield for the LOR2 shallow sand plot compared to the other experimental plots. The lower berry mass in the 2018/19 season (Figure 2B) was also reflected in substantially smaller bunches (Figure 2C) for all the experimental plots. Bunches at the BR1 and BR2 experimental plots were smaller in the 2019/20 season compared to the 2017/18 and 2018/19 seasons (Figure 2C), but bunches at the Lutzville deep sand experimental plot were bigger in the 2019/20 season compared to the 2018/19 season. The biggest bunches were obtained in the 2020/21 season (Figure 2C).
In the 2017/18 season, the low yield measured at the LOR2 shallow sand experimental plot (Figure 2D) was most likely due to the prevailing drought in the region. It has been speculated that the Spruitdrift Winery lost almost 50% of its grapes in this particular season. In the 2018/19 season, the yield at all the experimental plots was substantially lower compared to the 2017/18 one (Figure 2D). The yield was so low at the LOR2 experimental plot that not enough grapes could be harvested to make experimental wine, and was most likely due to the prevailing drought in the region, as well as the excessive amounts of elements applied via the irrigation. Given the region’s low rainfall levels, excessive salts applied were also not leached from the soil during the winter period. In the 2019/20 season, yield at the LOR1 and LOR2 experimental plots was higher compared to the 2018/19 season (Figure 2D). It was evident in this season that the yield at the BR1 and BR2 experimental plots was becoming progressively lower. Yield at all of the experimental plots was higher in the 2020/21 season compared to the 2019/20 season (Figure 2D). Furthermore, results indicated that the grapevines at the LOR2 experimental plot had recovered to a certain extent after receiving only raw water for the last two years of the study. This indicated that grapevines could recover from the detrimental effects that they had incurred from the in-field fractional use (augmentation) of winery wastewater with raw water for the first two seasons of the study.

FIGURE 2. Effect of in-field fractional use of winery wastewater with raw water on (A) bunches per grapevine, (B) berry mass, (C) bunch mass, and (D) yield of Shiraz and Cabernet Sauvignon at harvest in 2018, 2019, 2020 and 2021.
Wine characteristics
Sensory analyses of the experimental wines over the four vintages showed no consistent negative attributes that could be linked to potential off-odours or off-tastes that could have been carried over from the winery wastewater (data not shown). The wine Na element contents for the duration of the study ranged from 17 mg/L to 105 mg/L (data not shown). In a study carried out in Robertson, wine Na contents that ranged from 40 mg/L to 190 mg/L were reported.25 Much higher values were reported for Australian Shiraz wine Na that ranged from 78 mg/L to 533 mg/L.26 However, the legal limit for wine Na in South Africa is 100 mg/L.27 Wine Na for the LOR2 shallow sand experimental plot was 105 mg/L in the first season, thus higher than this norm, and the BR2 experimental plot had wine Na contents of 102 mg/L in the second season. However, due to the termination of the wastewater irrigation after two seasons, the wine Na level at the LOR2 shallow sand experimental plot declined to 43 mg/L in the 2020/21 season. Therefore, under the prevailing conditions, wines produced where grapevines were irrigated using in-field fractional use (augmentation) of winery wastewater with raw water for vineyard irrigation did not always conform to statutory requirements with regard to Na content. This was specifically notable in regions with lower rainfall.
Conclusions
The cane mass of the LOR1 deep sand and BR1 sandy loam experimental plots at the end of the trial was comparable to baseline values, whereas the cane mass at the BR2 sandy clay loam and LOR2 experimental plots was lower than the baseline values. This suggested that the in-field fractional use (augmentation) of winery wastewater with raw water had adverse effects on the vegetative growth of these grapevines and was likely related to the accumulation of Na in grapevine parts. Under the prevailing conditions at the LOR2 plot, i.e. lower mean annual rainfall and shallow sand, the yield was so low that not enough grapes could be harvested to make experimental wine after the second year of the in-field fractional use (augmentation) of winery wastewater with raw water for vineyard irrigation. The extremely low yield was most likely due to the drought, as well as the excessive amounts of elements applied via the irrigation water, which were not leached. Results indicated that the grapevines at the LOR2 experimental plot had recovered to a certain extent after receiving only raw water for the last two years of the study. This indicated that the grapevines could recover from the detrimental effects that they had incurred from the in-field fractional use (augmentation) of winery wastewater with raw water for the first two seasons of the study.
Although wine sensorial quality was not affected by the in-field fractional use (augmentation) of winery wastewater with raw water, experimental wines did not always conform to statutory requirements regarding their Na content. This was specifically notable in regions with lower rainfall.
Results indicated that winery wastewater can be a beneficial source of alternative irrigation water, particularly in areas where grapevines are normally grown under dryland conditions and during drought. Young grapevines were established successfully with the in-field fractional use (augmentation) of winery wastewater with raw water in the Coastal region. It should be noted that winery wastewater can vary in its availability. Large cooperative wineries may produce wastewater throughout the entire season, whereas smaller private wineries may only produce significant amounts of wastewater during harvest. This is important to consider when planning an irrigation strategy. Furthermore, the quality of wastewater can vary greatly over a short period of time. The composition of winery wastewater will vary according to the specific winemaking or cleaning practices being implemented. In addition, the influx of grapes to wineries during the harvest period increases the COD of the wastewater, which has implications for its reuse.
Based on the project results, the following criteria should be considered for possible amendments to the General Authorisation for wineries when using the in-field fractional use (augmentation) of winery wastewater with raw water for irrigation of vineyards:
- In the Coastal region, the in-field fractional use (augmentation) of winery wastewater can be applied on loamy sand and sandy clay loam soils using undiluted winery wastewater with COD and electrical conductivity (EC) levels of 2 600 mg/L and 1.20 dS/m or lower, respectively. A ratio of winery wastewater to raw water of 1:1 or lower should be used.
- In the Breede River region, the in-field fractional use (augmentation) of winery wastewater can be applied on sandy loam soils using undiluted winery wastewater with COD and EC levels of 3 400 mg/L and 1.30 dS/m or lower, respectively. A ratio of winery wastewater to raw water of 1:1 or lower should be used.
- In the Breede River region, the in-field fractional use (augmentation) of winery wastewater for vineyard soils should not be applied on sandy clay loams over the long term.
- In the Lower Olifants River region, the in-field fractional use (augmentation) of winery wastewater for vineyard soils should not be applied on shallow sandy soils over the long term.
- In the Lower Olifants River region, the in-field fractional use (augmentation) of winery wastewater for vineyard soils can be used on deep sandy soils using undiluted winery wastewater with COD and EC levels of 5 500 mg/L and 3.00 dS/m, respectively. A ratio of winery wastewater to raw water of 1:1 or lower should be used.
- The sodium adsorption ratio (SAR) must be less than five.
- Given that winery wastewater has high K contents, the winery wastewater’s K contents and the potassium adsorption ratio (PAR) should be considered as a water quality parameter when using winery wastewater for vineyard irrigation.
- The raw water irrigation should follow the application of the undiluted winery wastewater immediately to avoid unpleasant odours in the vineyard while irrigations are applied.
- The internal drainage in the root zone must be unrestricted.
- Only micro-sprinklers should be used since drippers have narrow flow paths and/or small orifices and are more susceptible to clogging.
- The irrigation must be applied with micro-sprinklers so that the bunches are not wetted.
- At least 50% plant-available water depletion should be allowed between irrigations to allow sufficient aeration for the oxidation of organic material applied via the irrigation water.
- The irrigation frequency and volumes (schedule) should enhance, rather than negate, wine quality characteristics.
- A summer interception crop of Pearl millet should be cultivated on the sandy soils in the Coastal region.
An assessment of the below- and above-ground chemical status of grapevines in the lower Olifants River region in response to the in-field fractional use (augmentation) of winery wastewater with raw water will be given in the last article.
Acknowledgements
- This report is an output of WRC Project K5/2561, entitled “Use of winery wastewater as a resource for irrigation of vineyards in different environments”. This solicited project was initiated, funded and managed by the WRC. The project was co-funded by Winetech and ARC.
- ARC for infrastructure and resources.
- Staff of the Soil and Water Science division at ARC Infruitec-Nietvoorbij for their assistance, and in particular Mr. F. Baron for his dedicated technical support.
- Backsberg, Madeba, Lutzville Winery and Spruitdrift Winery for permitting the project team to work at their wineries and in their vineyards. Colleagues at the wineries for their assistance and support.
- Mr W. Smit from Netafim for advice and designing the irrigation systems.
References
- Walker, R.R., Blackmore, D.H., Clingeleffer, P.R. & Iacono, F., 1997. Effect of salinity and Ramsey rootstock on ion concentrations and carbon dioxide assimilation in leaves of drip-irrigated field-grown grapevines (Vitis vinifera cv. Sultana). Aust. J. Grape Wine Res. 3, 66-74.
- Stevens, R.M., Harvey, G., Partington, D.L. & Coombe, B.G., 1999. Irrigation of grapevines with saline water at different growth stages. 1. Effects on soil, vegetative growth and yield. Aust. J. Agric. Res. 50, 343-355.
- Ben-Asher, J., Tsuyuki, I., Bravdo, B. & Sagih, M., 2006. Irrigation of grapevines with saline water. I. Leaf area index, stomatal conductance, transpiration and photosynthesis. Agr. Water Manage. 83, 13-21.
- Paranychianakis, N.V. & Angelakis, A.N., 2008. The effect of water stress and rootstock on the development of leaf injuries in grapevines irrigated with saline effluents. Agr. Water Manage. 95, 375-382.
- Stevens, R.M., Harvey, G. & Partington, D.L., 2011. Irrigation of grapevines with saline water at different growth stages: Effects on leaf, wood and juice composition. Aust. J. Grape Wine Res. 17, 239-248.
- Walker, R.R., Loveys, B.R. & Tyerman, S.D., 2015. Comparative effects of deficit and partial root zone drying using moderately saline water on ion partitioning in Shiraz and Grenache grapevines. Aust. J. Grape Wine Res. 21, 468-478.
- Walker, R.R., Loveys, B.R. & Tyerman, S.D., 2016. Comparative effects of deficit and partial root zone drying using moderately saline water on ion partitioning in Shiraz and Grenache grapevines. Aust. J. Grape Wine Res. 22, 296-306.
- Mosse, K.P.M., Patti, A.F., Christen, E.W. & Cavagnaro, T.R., 2011. Review: Winery wastewater quality and treatment options in Australia. Aust. J. Grape Wine Res. 17, 111-122.
- Van Zyl, J.L. & Weber, H.W., 1981. The effect of various supplementary irrigation treatments on plant and soil moisture relationships in a vineyard (Vitis vinifera Chenin blanc). S. Afr. J. Enol. Vitic. 2, 83-99.
- Petrie, P.R., Cooley, N.M. & Clingeleffer, P.R., 2004. The effect of post-véraison water deficit on yield components and maturation of irrigated Shiraz (Vitis vinifera) in the current and following season. Aust. J. Grape Wine Res. 10, 203-215.
- Myburgh, P.A. & Howell, C.L. 2014. Use of winery wastewater as a resource for irrigation of vineyards in different environments. WRC Report No. 1881/1/14. ISBN 978-1-4312-0591-2.
- Hirzil, D.R, Steenwerth, K., Parikh, S.J. & Oberholster, A., 2017. Impact of winery wastewater on soil, grape and wine composition. Agr. Water Manage. 180, 170-189.
- Kennison, K.R., Wilkinson, K.L., Pollnitz, A.P., Williams, H.G. & Gibberd, M.R., 2009. Effect of timing and duration of grapevine exposure to smoke on the composition and sensory properties of wine. Aust. J. Grape Wine Res. 15, 228-237.
- Novak, P., 2002. Cineole – a new aroma component of Pinot Noir grape juice in Tasmania. Honours thesis, School of Agricultural Science, University of Tasmania.
- Van Leeuwen, L., Pardon, G., Elsey, G., Sefton, M. & Capone, D., 2007. Are Australian wines affected by the proximity of vineyards to eucalypt trees? Determination of 1,8-cineole (eucalyptol) in red and white wines. Proceedings 435 of the 13th Australian wine industry technical conference, Adelaide, Australia.
- Schoeman, C., 2012. Grape and wine quality of vinifera L. cv. Cabernet Sauvignon/99R in response to irrigation using winery wastewater. Thesis, Stellenbosch University, Private Bag X1, 7602 Matieland (Stellenbosch), South Africa.
- McCarthy, M.G. & Downton, W.J.S., 1981. Irrigation of grapevines with sewage effluent. II. Effects on wine composition and quality. Am. J. Enol. Vitic. 32, 197-199.
- Kumar, A., Rengasamy, P., Smith, L., Doan, H., Gonzago, D., Gregg, A., Lath, S., Oats, D. & Correl, R., 2014. Sustainable recycled winery water irrigation based on treatment fit for purpose approach. Report CSL1002. Grape and Wine Research Development Corporation/CSIRO Land and Water Science, Adelaide, Australia.
- Howell, C.L., Myburgh, P.A. & Hoogendijk, K., 2022. Use of winery wastewater as a resource for irrigation of vineyards in different environments. WRC Report No. 2651/1/22. ISBN 978-0-6392-0341-6.
- Mosse, K.P.M., Lee, J., Leachman, B.T., Parikh, S.J., Cavagnaro, T.R., Patti, A.F. & Steenworth, K.L., 2013. Irrigation of an established vineyard with winery cleaning agent solution (simulated winery wastewater): Vine growth, berry quality, and soil chemistry. Agr. Water Manage. 123, 93-102.
- Roux, F.A., 2005. The influence of specific soil and climate parameters on vineyard performance, wine quality and -character (In Afrikaans). Thesis, Stellenbosch University, Private Bag X1, 7602 Matieland (Stellenbosch), South Africa.
- Bruwer, R.J., 2010. The edaphic and climatic effects on production and wine quality of Cabernet Sauvignon in the Lower Olifants River region. Thesis, Stellenbosch University, Private Bag X1, 7602 Matieland (Stellenbosch), South Africa.
- Mehmel, T.O., 2010. Effect of climate and soil water status on Cabernet Sauvignon (Vitis vinifera) grapevines in the Swartland region with special reference to sugar loading and anthocyanin biosynthesis. Thesis, Stellenbosch University, Private Bag X1, 7602 Matieland (Stellenbosch), South Africa.
- Lategan, E.L. & Howell, C.L., 2016. Deficit irrigation and canopy management practices to improve water use efficiency and profitability of wine grapes. WRC Report No. 2080/1/16. ISBN 978-1-4312-0816-6.
- Moolman, J.H., De Clercq, W.P., Wessels, W.P. J., Meiri, A. & Moolman, C.G., 1998. The use of saline water for irrigation of grapevines and the development of crop salt tolerance indices. WRC Report No 303/1/00. Water Research Commission. Private Bag X103, Gezina, Pretoria, 0031, South Africa.
- Walker, R.R., Blackmore, D.H., Clingeleffer, P.R., Godden, P., Francis, L., Valente, P. & Robinson, E., 2003. Salinity effects on vines and wines. Bulletin O.I.V. 76, 201-227.
- Department of Water Affairs and Forestry, 1996. South African water quality guidelines. Vol. 4. Agricultural use: Irrigation. Water Affairs and Forestry. South African water quality guidelines. Vol. 4, Agricultural use: irrigation. CSIR Environmental Services. Department of Water Affairs and Forestry, Pretoria, South Africa.
For more information, contact Carolyn Howell at howellc@arc.agric.za.
Click here to get your copy of WineLand Magazine.