Abstract
A long-term trial was conducted in commercial vineyards in the Coastal region of South Africa to assess the impact of treated municipal wastewater (TMW) irrigation on vineyards. Cabernet Sauvignon and Sauvignon blanc grapevines were irrigated using TMW from the Potsdam wastewater treatment works for 11 years. Grapevines were either rainfed (RF), irrigated with TMW via a single dripper line (SLD) or received twice the volume of wastewater via a double dripper line (DLD). Grapevine vegetative responses were measured from 2014/15 to 2017/18 season. Although high amounts of K+, Na+ and Cl- were applied via TMW irrigation, it did not result in excessive plant uptake and did not negatively affect vegetative growth. Irrigation reduced water constraints throughout the growing season compared to RF conditions, particularly for Cabernet Sauvignon. Consequently, SLD and DLD grapevines produced stronger vegetative growth.
Results showed that the availability of irrigation water (albeit of relatively low quality) in regions where grapevines are usually grown under dryland conditions can sustain the vegetative growth of grapevines. However, TMW can vary in its availability, as well as its quality over a short period. Plant and soil water status should be monitored regularly to avoid over-irrigation. Irrigation water, soils and grapevine leaves should be analysed to ensure that chemical parameters conform to recommended thresholds and norms.
Introduction
Treated municipal wastewater (TMW) is a suitable irrigation water source in Mediterranean countries with limited fresh water supplies during summer and high rainfall during winter. The latter can facilitate the leaching of salts applied via wastewater irrigation, leading to sodicity. Approximately 2 000 ha of vineyards in the Swartland and surrounding regions in South Africa are irrigated with TMW supplied by the City of Cape Town’s Potsdam wastewater treatment works and the Malmesbury municipality.1 The study’s objective was to assess the sustainability of long-term irrigation with TMW on grapevine vegetative growth from the 2014/15 to 2017/18 seasons in commercial vineyards in the Coastal region of the Western Cape, South Africa. The low winter rainfall in 2017 in this spesific region and the looming onset of drought and water restrictions highlighted the necessity for alternative water sources for vineyard irrigation for the South African wine industry. Therefore, in the last season of the study, i.e. the 2017/18 season, grapevine plant water status, leaf chemical status and canopy characteristics were also measured.
Methods
The field trial was carried out in full-bearing, commercial vineyards on a farm near Philadelphia in the coastal region of the Western Cape from 2006/07 until 2017/18. The region has a Mediterranean climate. Given the hilly landscape where the vineyards were irrigated using TMW, three experiment sites were selected in different landscape positions. The first site was in a Sauvignon blanc vineyard on the shoulder of a hill. The second and third sites were in two Cabernet Sauvignon vineyards on a back- and a footslope, respectively. Details of the characteristics of the vineyards, irrigation treatments and application, and an assessment of the water quality and nutrient load, were reported previously.2,3,4
Grapevine water potential was measured during the 2017/18 season using the pressure chamber technique5 according to guidelines described previously.6 The stem water potential (ΨS) was measured at each treatment plot in three mature, unscathed leaves opposite a bunch. At véraison of the 2017/18 growing season, 30 mature leaves opposite a bunch were collected per treatment plot at each landscape position. Leaf blades were analysed by a commercial laboratory. Over the last four years of the study period, i.e. 2015 to 2018, grapevine vigour was quantified by measuring pruning mass in winter.
Due to the nature of the project, no statistical data analyses were initially planned. However, in discussions with statisticians, it became clear that comparing results obtained with the different irrigation strategies was possible. Different seasons were considered replications. Fisher’s least significant difference was calculated at the 5% level to compare treatment means.
Results and discussion
Grapevine water status
At the pea-size berry stage of the 2017/18 season, except for the backslope double dripper line (DLD) and footslope single dripper line (SLD) plots, the irrigated treatments did not experience any water constraints according to thresholds reported previously (Figure 1).7,8 However, grapevines at the rainfed (RF) plots experienced low water constraints at the shoulder and backslope and moderate constraints at the footslope site (Figure 1A – C). On 18 December 2017 (véraison), all of the grapevines at the shoulder site experienced moderate water constraints, with ΨS varying between -0.9 MPa and -1.1 MPa (Figure 1A). In contrast, grapevines of the RF plot at the backslope site were already experiencing severe water constraints (Figure 1B). Before harvest, there was little difference between the treatments and all the grapevines experienced severe water constraints, except for the grapevines at the footslope DLD plot (Figure 1C). According to water constraint thresholds, the maximum ΨS measured at the footslope DLD plot fell under Class IV, namely “high water constraints”, which is regarded as ideal for producing quality Cabernet Sauvignon wine on a clay soil.8 The substantially higher ΨS measured at the footslope DLD plot during véraison and harvest was most probably due to high volumes of TMW applied at this plot4 and subsequent greater soil water content (Figure 1C). At the back- and footslope sites, ΨS was consistently higher at the SLD and DLD plots when compared to the RF plots, albeit very slightly (Figure 1B – C). Similarly, lower ΨS in non-irrigated grapevines was reported compared to those irrigated with SLD and DLD in the Swartland. This was attributed to greater soil water content in irrigated plots.9 From the results of the current study, it is clear that irrigation with TMW was only beneficial in preventing water constraints up until véraison, whereafter irrigated grapevines experienced similar levels of water stress compared to non-irrigated grapevines. Similar results were reported for Tempranillo grapevines under RF and irrigated conditions during seasons with limited rainfall.10

FIGURE 1. Effect of rainfed conditions (RF) and irrigation with treated municipal wastewater via single (SLD) and double line drip (DLD) on the midday stem water potential (ΨS) in (A) Sauvignon blanc on a shoulder and Cabernet Sauvignon on (B) a backslope and (C) a footslope at pea size, véraison and harvest during the 2017/18 season.
Vegetative grapevine measurements
Leaf chemical status
All experimental grapevines had leaf blade N levels (Table 1) exceeding the recommended norms of 1.5% to 2.4%.11 No substantial differences were observed between treatments, but leaf N content tended to increase slightly with the amount of irrigation water applied. Given that the N content of the leaves was above the recommended norm of 2.4%, care should be taken to avoid over-fertilisation that could lead to excessive vegetative growth and reduced fruitfulness.12 The grapevine leaf blade P content (Table 1) was within the recommended range of 0.12% to 0.45%,11 except for slightly higher concentrations in the shoulder SLD, DLD and footslope DLD plots. Irrigation with TMW significantly increased the leaf P concentrations of Sultanina grapevines compared to grapevines irrigated with fresh water.13 Leaf blade K+, Ca2+ and Mg2+ concentrations (Table 1) among all the experimental grapevines were within the recommended norms.11 Furthermore, no trends were observed that could be related to the different irrigation treatments.
Although high amounts of Cl– were applied via TMW irrigation,3 leaf blade Cl– concentrations (Table 1) of all the treatments were below the recommended threshold value of 0.5%.14,15 There was no clear trend regarding the irrigation treatments (Table 1). Similarly, although high amounts of Na+ were applied via irrigation with TMW,3 no trend was observed concerning leaf blade Na+ content (Table 1). In addition, leaf blade Na+ concentrations were well below the recommended threshold value 0.25%.11 This indicated that grapevines did not accumulate excessive amounts of Na+ when irrigated with TMW.
TABLE 1. Leaf blade nutrient status of Sauvignon blanc on a shoulder and Cabernet Sauvignon grapevines on a backslope and footslope, respectively, under rainfed conditions (RF) and irrigated with treated municipal wastewater via single (SLD) or double dripper line (DLD) at véraison of the 2017/18 season.

Canopy characteristics
Grapevines of the RF plot showed visual signs of water constraints at the footslope site (Figure 2). This could be explained by both low soil water content (data not shown) and low ΨS (Figure 1) measured at this plot during the harvest period. The canopy in the bunch zone of the DLD plot was visibly denser than the SLD plot (Figure 2). This is likely a result of considerably higher ΨS (Figure 1) and soil water content at harvest.4 Excessive shade in the bunch zone of Cabernet Sauvignon grapevines in Stellenbosch resulted in reduced berry mass, bunch mass, yield and skin colour and increased the K+ concentration, pH and TTA of the grape juice.16 Densely shaded canopies may also increase the chances of developing Botrytis bunch rot and induce unwanted herbaceous characters in wine.17 Since Cabernet Sauvignon is considered a vigorous, low-yielding cultivar,18 it is particularly sensitive to over-irrigation.19

FIGURE 2. Effect of rainfed conditions (RF) and irrigation with treated municipal wastewater via single (SLD) and double dripper line (DLD) on the visual appearance of Cabernet Sauvignon on a footslope before harvest of the 2017/18 season.
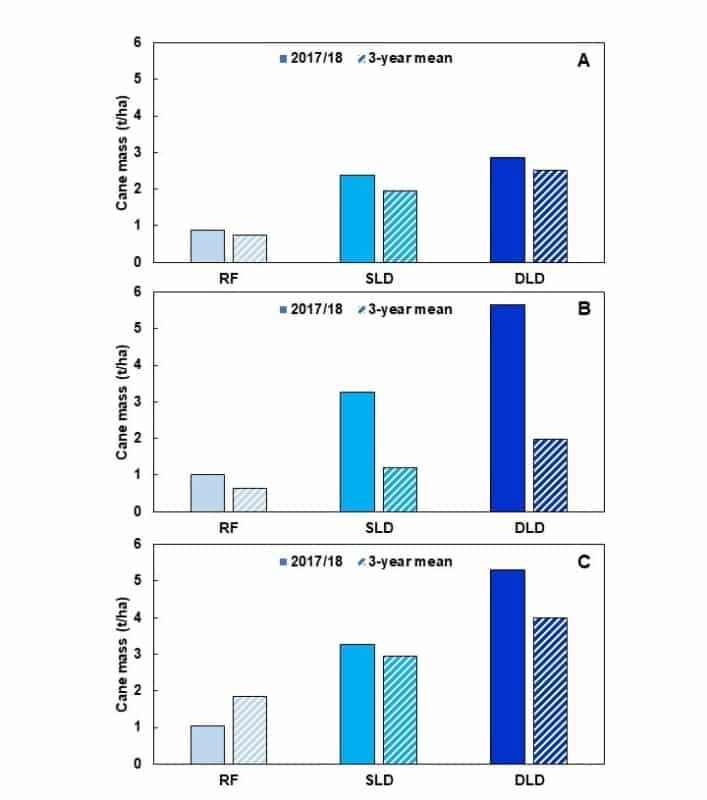
Cane mass
Irrigation using TMW increased the cane mass of grapevines compared to the RF control (Figure 3, Table 2). These results were expected since the irrigated plots had higher soil water content for most of the season,4 as well as higher ΨS (Figure 1). Similar results were reported for irrigated and non-irrigated Cabernet Sauvignon grapevines in the Swartland region.9 In the Coastal region, cane mass for Sauvignon blanc grapevines in soil with higher SWC was higher when compared to grapevines in drier soil in the same vineyard.20 Reduced shoot growth is one of the first visible symptoms of grapevine water constraints.21 In this regard, the availability of TMW as an irrigation water source positively impacted grapevine vegetative growth in a region where grapevines are traditionally grown under RF conditions due to a lack of natural freshwater resources. Except for the footslope RF plot, the cane mass measured during the 2017/18 season was greater at all of the treatment plots when compared to the mean cane mass of the previous three seasons (Figure 3). This was likely a result of larger volumes of irrigation water applied at the SLD and DLD plots compared to the 2013/14, 2014/15 and 2015/16 seasons.2 The previous suggests that irrigation with TMW did not pose a salinity hazard to grapevine vegetative growth.
TABLE 2. Mean cane mass of Sauvignon blanc grapevines on a shoulder and Cabernet Sauvignon grapevines on a backslope and footslope, respectively, under rainfed conditions (RF) and irrigated with treated municipal wastewater via single (SLD) or double dripper line (DLD).

(1) Values designated by the same letters within a row do not differ significantly (p ≤ 0.05).

FIGURE 3. Effect of rainfed conditions (RF) and irrigation with treated municipal wastewater via single (SLD) and double line drip (DLD) on the cane mass in (A) Sauvignon blanc on a shoulder and Cabernet Sauvignon on (B) a backslope and (C) a footslope during the 2017/18 season compared to the mean for the 2014/15 to the 2016/17 season.
Conclusions
Although substantial amounts of K+, Na+ and Cl– were applied via wastewater irrigation, it did not result in excessive plant uptake and did not negatively affect vegetative growth. This suggested that grapevines possess mechanisms to regulate the uptake of ions from the soil solution. Despite the high amounts of salts applied via TMW irrigation, no salinity hazards with regard to vegetative growth were observed for the irrigated treatments. Irrigation with TMW reduced water constraints throughout the growing season compared to RF conditions, particularly in the case of Cabernet Sauvignon. Consequently, the SLD and DLD grapevines produced stronger vegetative growth compared to RF grapevines. Results showed that the availability of irrigation water (albeit of relatively low quality) in regions where grapevines are usually grown under dryland conditions can sustain the vegetative growth of grapevines. However, the water can vary in its availability, as well as its quality over a short period of time. Plant and soil water status should be monitored regularly to avoid over-irrigation. Irrigation water, soils and grapevine leaves should be analysed to ensure that chemical parameters conform to recommended thresholds and norms.
Yield and its parameters will be presented in the next article.
Acknowledgements
- The project was funded by the Water Research Commission (WRC), Winetech and the Agricultural Research Council (ARC).
- ARC for infrastructure and resources.
- Staff of the Soil and Water Science division at ARC Infruitec-Nietvoorbij for technical support.
- Messrs Pierre Blake for permission to work in his vineyard, and Egbert Hanekom for managing the vineyard and technical assistance.
References
- Myburgh, P.A., 2018 (1st ed). Handbook for irrigation of wine grapes in South Africa. Agricultural Research Council, Pretoria, South Africa.
- Hoogendijk, K., 2019. Soil and grapevine responses to irrigation with treated municipal and winery wastewaters. Thesis, Stellenbosch University, Private Bag X1, 7602 Matieland (Stellenbosch), South Africa.
- Howell, C.L., Hoogendijk, K., Myburgh, P.A. & Lategan, E.L., 2022. An assessment of treated municipal wastewater used for irrigation of grapevines with respect to water quality and nutrient load. S. Afr. J. Enol. Vitic. 43, 168-179.
- Howell, C., Hoogendijk, K., Myburgh, P., Lategan, E., 2023. Treated municipal wastewater for irrigation (Part 1): Irrigation application and water quality. Winelands. Submitted for publication.
- Scholander, P.F., Hammel, H.T., Bradstreet, E.D. & Hemmingsen, E.A., 1965. Sap pressure in vascular plants. Science 148, 339-346.
- Myburgh, P.A., 2010. Practical guidelines for the measurement of water potential in grapevine leaves. Winetech Technical Yearbook 2010, 11-13.
- Van Leeuwen, C., Tregoat, O., Choné, X., Bois, B., Pernet, D. & Gaudillère, J.P., 2009. Vine water status is a key factor in grape ripening and vintage quality for red Bordeaux wine. How can it be assessed for vineyard management purposes? J. Int. Sci. Vigne Vin 43, 121-134.
- Myburgh, P.A., Cornelissen, R.J. & Southey, T.O., 2016. Interpretation of stem water potential measurements. Wineland June, 78-80.
- Mehmel, T.O., 2010. Effect of climate and soil water status on Cabernet Sauvignon (Vitis vinifera ) grapevines in the Swartland region with special reference to sugar loading and anthocyanin biosynthesis. Thesis, Stellenbosch University, Private Bag X1, 7602 Matieland (Stellenbosch), South Africa.
- Intrigliolo, D.S. & Castel, J.R., 2008. Effects of irrigation on the performance of grapevine cv. Tempranillo in Requena, Spain. Am. J. Enol. Vitic. 59, 30-38.
- Conradie, W.J., 1994. Vineyard fertilisation. Proceedings of workshop on vineyard fertilization. Nietvoorbij, 30 September 1994. ARC Infruitec-Nietvoorbij, Private Bag X5026, 7599 Stellenbosch, South Africa.
- Saayman, D., 1981. Grapevine nutrition (in Afrikaans). In: Burger, J.D. & Deist, J. (eds). Wingerdbou in Suid-Afrika. ARC Infruitec-Nietvoorbij, Private Bag X5026, 7599 Stellenbosch, South Africa.
- Paranychianakis, N.V., Nikolantonakis, M., Spanakis, Y. & Angelakis, A.N., 2006. The effect of recycled water on the nutrient status of Soultanina grapevines grafted on different rootstocks. Agric. Water Manage. 81, 185-198.
- Beyers, E., 1962. Diagnostic leaf analysis for deciduous fruit. S. Afr. J. Agric. Sci. 5, 315-329.
- Christensen, P., 2005. Use of tissue analysis in viticulture. In: Proc. Varietal Winegrape Production Short Course, University of California Davis, U.S.A., March 2005, pp. 1-9.
- Archer, E. & Strauss, H.C., 1989. Effect of shading on the performance of Vitis vinifera L. cv. Cabernet Sauvignon. S. Afr. J. Enol. Vitic. 10, 74-76.
- Smart, R.E., Dick, J.K., Gravett, I.M. & Fisher, B.M., 1990. Canopy management to improve grape yield and wine quality- Principles and practices. S. Afr. J. Enol. Vitic. 11, 13-17.
- Goussard, P.G., 2008 (1st ed). Grape cultivars for wine production in South Africa (in Afrikaans). Cheviot Publishing, Cape Town, South Africa.
- Bruwer, R.J., 2010. The edaphic and climatic effects on production and wine quality of Cabernet Sauvignon in the Lower Olifants River region. Thesis, Stellenbosch University, Private Bag X1, 7602 Matieland (Stellenbosch), South Africa.
- Conradie, W.J., Carey, V.A., Bonnardot, V., Saayman, D. & Van Schoor, L.H., 2002. Effect of different environmental factors on the performance of Sauvignon blanc grapevines in the Stellenbosch/Durbanville districts of South Africa. I. Geology, soil, climate, phenology and grape composition. S. Afr. J. Enol. Vitic. 23, 78-91.
- Williams, L.E., 2000. Grapevine water relations. In: Raisin production manual. University of California, Agriculture & Natural Resources Publication 3393, Oakland, California, pp. 121-126.
For more information, contact Carolyn Howell at howellc@arc.agric.za.
Click here to get your copy of WineLand Magazine and here to subscribe to our newsletter.