Abstract
A long-term trial was conducted in commercial vineyards in the Coastal region of South Africa to assess the impact of irrigation with treated municipal wastewater (TMW) on Cabernet Sauvignon and Sauvignon blanc vineyards. Grapevines were irrigated using TMW for 11 years. The grapevines were either rainfed (RF), irrigated with TMW via a single dripper line (SLD) or received twice the volume of wastewater via a double dripper line (DLD). Yield responses and juice characteristics were measured from the 2013/14 to 2017/18 seasons. Although high amounts of K+, Na+, and Cl- were applied via TMW irrigation, it did not affect yield negatively.
Given that irrigation reduced water constraints throughout the growing season compared to RF conditions, particularly for Cabernet Sauvignon, SLD and DLD grapevines produced higher yields compared to RF. Results showed that the availability of irrigation water (albeit of relatively low quality) in regions where grapevines are usually grown under dryland conditions can increase grapevine productivity whilst maintaining good fruit quality. Although this study indicated that grapevines can be irrigated successfully using TMW, proper management is required to limit possible negative effects on grapevines and the environment.
Introduction
Low annual rainfall, limited supply of fresh water that can be stored on farms and water restrictions have highlighted the necessity for alternative sources of water for irrigation for the South African wine industry. In this regard, many other countries use treated municipal wastewater (TMW) as an alternative source of irrigation water. About 2 000 ha of vineyards in the Swartland and surrounding regions in South Africa are irrigated with TMW.1
The high nutrient content present in TMW can increase grape yield.2,3 In another study, however, the yield of grapevines irrigated with TMW was similar to that of grapevines irrigated with fresh water.4,5 This suggested that TMW may not adversely affect grapevine growth. Due to the nutrient supply through wastewater, similar grape yields could be obtained without the application of additional fertilisers. Therefore, the use of TMW for irrigation in water-scarce regions could increase crop productivity substantially when no other water sources are available.
An increase in juice total soluble solids (TSS) and pH of Riesling grapes that were irrigated with TMW was reported previously.2 However, total titratable acidity (TTA) was not affected. There were no differences in juice TSS, TTA and pH of Cabernet Sauvignon and Merlot that were irrigated with either TMW or groundwater.3 Elevated concentrations of N, P, K+, Na+, Cl– and Mg2+ and pH in wines produced from Shiraz grapes in response to irrigation with TMW have also been reported.6 In that particular study, wines produced from grapevines irrigated with TMW also had higher anthocyanin and phenolic contents.
No studies have yet assessed the feasibility of using TMW rather than fresh water for vineyard irrigation under South African conditions. Therefore, the study’s objective was to assess long-term irrigation sustainability with TMW on grapevine yield and juice characteristics in the latter part of a field trial in commercial vineyards in the Coastal region of the Western Cape, South Africa. The low winter rainfall in 2017 in this particular region and the looming onset of drought and water restrictions highlighted the necessity for alternative sources of water for vineyard irrigation for the South African wine industry.
Methods
The field trial was carried out in full-bearing, commercial vineyards on a farm near Philadelphia in the Coastal region of the Western Cape from the 2006/07 until 2017/18 seasons. Three experiment sites were selected in different landscape positions. The first site was in a Sauvignon blanc vineyard on the shoulder of a hill. The second and third sites were in two Cabernet Sauvignon vineyards situated on a back- and a footslope, respectively. Details of the characteristics of the vineyards, irrigation treatments and application, and an assessment of the water quality and nutrient load were reported previously.7,8,9 Grapevine water status and vegetative responses have also been reported.10,11
At harvest, all bunches of the treatment plots were picked and weighed using a top loader mechanical balance. Grape mass per grapevine (kg/grapevine) was calculated by dividing the total grape mass per treatment by the number of grapevines per treatment, which was then converted to yield (t/ha). Yield was determined from 2013/14 until 2017/18. The objective was to harvest the grapes at 24°B, but this was not always possible due to logistical constraints. In 2017/18, more detailed measurements were carried out to determine the effect of TMW irrigation on the various yield components. Ten randomly selected bunches were picked from each treatment plot and weighed using an electronic balance. A sample of 100 berries was obtained by picking 10 berries from each of the 10 bunches. The berry samples were weighed to determine the berry mass. The remaining bunches were picked by hand and counted using a mechanical counter to calculate the number of bunches per grapevine.
A representative sample of bunches was selected from each plot at harvest. The grapes were gently crushed to extract juice from the berries. The juice was analysed for TSS, TTA and pH. Juice characteristics were only determined from 2013/14 until 2017/18.
Data was statistically analysed as described previously.10,11 Fisher’s least significant difference was calculated at the 5% level to compare treatment means.
Results and discussion
Over the 11-year period, irrigation with TMW increased yields significantly at all three experimental sites compared to the RF grapevines (Table 1). It must be noted that DLD only tended to increase yield compared to SLD, particularly at the back- and footslopes. The fact that twice the irrigation volume did not double the yield is important since it suggested that more water would probably cause over-irrigation. The latter can have negative effects on grape production, and more so where the irrigation water quality is questionable.
TABLE 1. Yield of Sauvignon blanc grapevines on a shoulder and Cabernet Sauvignon grapevines on a backslope and footslope, respectively, under rainfed conditions (RF) and irrigated with treated municipal wastewater via single (SLD) or double dripper line (DLD). Data are means from 2006/07 until 2017/18.

(1) Values designated by the same letters within a row do not differ significantly (p ≤ 0.05).
Visual observation revealed the yield components generally responded positively to the TMW irrigation (Figure 1). Results of the 2017/18 season showed that the increased bunch mass for the irrigated grapevines was associated with larger berries (Table 2). Furthermore, the SLD and DLD treatments tended to increase bunches per grapevine compared to the RF grapevines, except at the footslope (Table 2). The TMW irrigation increased bunch mass substantially at the shoulder and backslope sites compared to the RF plots. However, the additional irrigation water applied via the DLD did not result in a higher bunch mass compared to the SLD plots. In contrast, the bunch mass of the Cabernet Sauvignon grapes at the footslope increased with the amount of irrigation water applied (Figure 1B & Table 2). This could be explained by the amount of irrigation water applied at this site throughout the season8 and the subsequent lower water constraints experienced at the DLD plot.10 It was previously reported that the berry mass of Sauvignon blanc grapes was severely reduced when ΨS became more negative.12 Berries are most sensitive to water deficits during the beginning stages of berry development and berry size could be reduced.13 Water constraints prior to véraison can result in smaller berries.14 High water constraints that were associated with low soil matric potential during the period from flowering to harvest reduced the berry size of Cabernet Sauvignon grapevines in the Swartland region.15 In the Lower Olifants River region, berries of 0.78 g were measured for Cabernet Sauvignon grapevines growing on sandy soil and irrigated according to a deficit irrigation strategy.16 Similarly, water deficits experienced by Shiraz grapevines between flowering and véraison reduced berry size irreversibly.17 Water constraints during the period from flowering to berry set may reduce the number of berries per bunch.18

FIGURE 1. Variation in bunch mass of Cabernet Sauvignon grapevines on (A) a backslope and (B) a footslope, under rainfed conditions (RF) and irrigation with treated municipal wastewater via single (SLD) and double dripper line (DLD) during the 2017/18 season.
TABLE 2. Yield components of Sauvignon blanc grapevines on a shoulder and Cabernet Sauvignon grapevines on a backslope and footslope, respectively, under rainfed conditions (RF) and irrigation with treated municipal wastewater via single (SLD) and double dripper line (DLD) during the 2017/18 season.

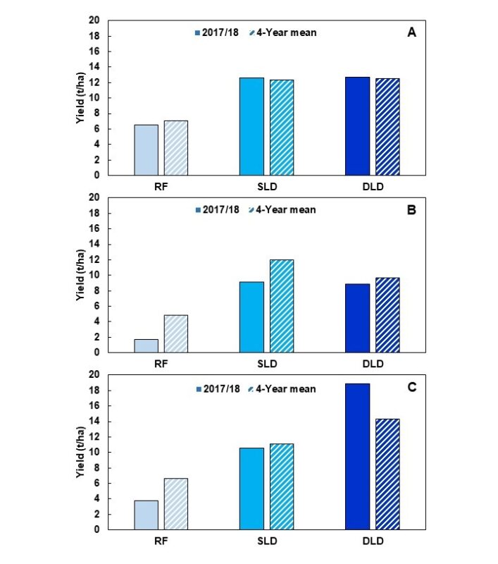
From 2013/14 until 2017/18, irrigation with TMW increased grapevine yield in all the treatment plots compared to the RF control (Figure 2). In the 2017/18 season, the increased yield can be attributed to bigger bunches produced by the irrigated grapevines. Similar to bunch mass, the yield between the SLD and DLD treatment plots of the shoulder and backslope sites did not differ substantially. In contrast, the yield at the footslope site increased with an increasing amount of irrigation water applied (Figure 2). This agrees with earlier results reported for Cabernet Sauvignon grapevines in the Swartland region.15 Shiraz grapevines irrigated with 135 L of municipal wastewater per week produced more and heavier bunches, which increased yield compared to grapevines irrigated either with 45 L of municipal wastewater per week or 135 L of fresh water per week.4 As was reported for cane mass,10,11 yield results confirmed that irrigation with TMW did not pose a salinity hazard under the given conditions. Low rainfall during the initial stages of berry development in the 2017/18 season (data not shown) probably explains the lower yields produced by the RF grapevines compared to the mean yields produced in the 2013/14 to 2016/17 seasons (Figure 2).

FIGURE 2. Effect of rainfed conditions (RF) and irrigation with treated municipal wastewater via single (SLD) and double dripper line (DLD) on the yield in (A) Sauvignon blanc on a shoulder, as well as Cabernet Sauvignon on (B) a backslope and (C) a footslope during the 2017/18 season compared to the mean for the 2013/14 to the 2016/17 seasons.
Juice characteristics
Despite the high amounts of K+ applied via TMW irrigation during this study, no detrimental effects regarding juice quality were observed (Table 3). In fact, irrigation tended to improve the juice quality compared to the RF control treatments.
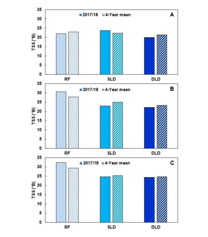
The different irrigation treatments did not affect the juice TSS of the Sauvignon blanc grapes at the shoulder site. In contrast, the RF treatment plots of the Cabernet Sauvignon grapevines at the backslope and footslope sites had slightly higher TSS compared to the irrigated treatments (Table 3). This was probably due to actively growing shoots and excessive vegetative growth of the irrigated grapevines during the ripening period which was a stronger sink for photosynthates than the ripening grapes.15 The higher yields of the irrigated treatments may also have obstructed sugar accumulation due to sink competition.19 Since all the Cabernet Sauvignon grapes had to be harvested on the same day due to logistical reasons, the RF plots probably accumulated more sugars over the ripening period. It was previously reported that grapevine water constraints enhance berry sugar content in low-yielding grapevines, whereas it reduces the berry sugar content of high-yielding grapevines.20 In the 2017/18 season, TSS followed similar trends compared to the mean of 2013/14 to 2016/17 seasons (Figure 3).
TABLE 3. Mean total soluble solids, total titratable acidity and juice pH of Sauvignon blanc grapevines on a shoulder and Cabernet Sauvignon grapevines on a backslope and footslope, respectively, under rainfed conditions (RF) and irrigated with treated municipal wastewater via single (SLD) or double dripper line (DLD) from the 2013/14 until 1017/18 seasons.

(1) Values designated by the same letters within a row do not differ significantly (p ≤ 0.05).

FIGURE 3. Effect of rainfed conditions (RF) and irrigation with treated municipal wastewater via single (SLD) and double dripper line (DLD) on the grape juice total soluble solids (TSS) in (A) Sauvignon blanc on a shoulder, as well as Cabernet Sauvignon on (B) a backslope and (C) a footslope during the 2017/18 season compared to the mean for 2013/14 to the 2016/17 seasons.
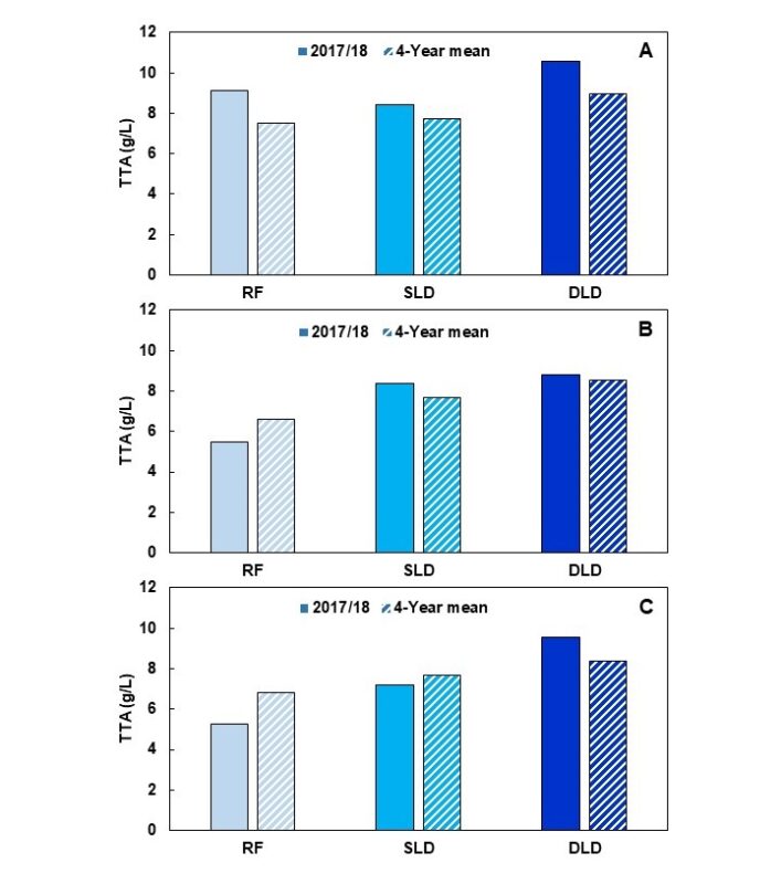
The TTA of the Cabernet Sauvignon grapes at the back- and footslope sites increased with the amount of irrigation water applied (Table 3). The lower TTA measured at the RF treatment plots may be a result of increased sunlight penetration in the less dense bunch zone, which increased berry exposure and reduced TTA.21,22 The increase in TTA with increased water application (Figure 4B-C) can also be related to less water constraints experienced by the grapevines at the SLD and DLD plots during the ripening period.10 Reduced TTA in non-irrigated Cabernet Sauvignon grapevines compared to grapevines irrigated via a single or double dripper line was previously reported.15 The reduction in TTA was attributed to water constraints experienced during the ripening period, as well as the warm climate of the Swartland region. In contrast, the TTA of the Sauvignon blanc grapes at the shoulder site did not differ between the RF and SLD grapevines; however, TTA was higher for the DLD grapevines (Figure 4A; Table 3). These results were expected as the RF and SLD plots at the shoulder site experienced similar water constraints during the ripening period.10 Similar results were reported for Sauvignon blanc grapes in the Coastal region, where lower acidity and higher pH were observed for grapevines that experienced water stress in a Glenrosa soil.22 The TTA measured during the 2017/18 season followed similar trends to the mean TTA of the previous four seasons (Figure 4).

FIGURE 4. Effect of rainfed conditions (RF) and irrigation with treated municipal wastewater via single (SLD) and double dripper line (DLD) on total titratable acidity (TTA) in (A) Sauvignon blanc on a shoulder, as well as Cabernet Sauvignon on (B) a backslope and (C) a footslope during the 2017/18 season compared to the mean for the 2013/14 to the 2016/17 seasons.
On average, the different irrigation treatments did not affect the juice pH at harvest of either the Sauvignon blanc or Cabernet Sauvignon grapes (Table 3). Similar results were observed for the juice pH during the 2017/18 season compared to the previous four seasons (Figure 5). Except for the RF plots of the back- and footslope sites, juice pH was within the recommended range of 3.0 – 3.8.23 High juice pH (e.g. > 3.8) is often associated with high juice K+ concentrations, which may result in wines with poor colour stability and taste.24 Previous studies have linked increased berry K+ concentrations to increased K+ supply to grapevines.25,26 The pH in wines made from Shiraz grapes that received 135 L of municipal wastewater per week was higher compared to those irrigated with the same amount of fresh water.6 The increased pH was attributed to greater K+ concentrations, resulting in wines with poor colour, fewer anthocyanins and a greater “chemical age”.

FIGURE 5. Effect of rainfed conditions (RF) and irrigation with treated municipal wastewater via single (SLD) and double dripper line (DLD) on grape juice pH in (A) Sauvignon blanc on a shoulder, as well as Cabernet Sauvignon on (B) a backslope and (C) a footslope during the 2017/18 season compared to the mean for the 2013/14 to the 2016/17 season.
Conclusions
Although high amounts of K+, Na+ and Cl– were applied via TMW irrigation, it did not result in excessive uptake by the grapevines, causing any negative effects on yield. This suggested that grapevines possess mechanisms to regulate the uptake of ions from the soil solution. Despite the high amounts of salts applied via TMW irrigation, no salinity hazards regarding yield were observed for the irrigated treatments. Given that the irrigation reduced water constraints throughout the growing season compared to RF conditions, particularly in the case of Cabernet Sauvignon, SLD and DLD grapevines produced higher yields compared to RF grapevines. Results showed that the availability of irrigation water (albeit of relatively low quality) in regions where grapevines are usually grown under dryland conditions can increase yield whilst maintaining good fruit quality. Although this study indicated that grapevines can be irrigated successfully using TMW, proper management is required to limit possible negative effects on grapevines and the environment.
Soil responses will be presented in a follow-up article.
Acknowledgements
- The project was funded by the Water Research Commission (WRC), Winetech and the Agricultural Research Council (ARC).
- ARC for infrastructure and resources.
- Staff of the Soil and Water Science division at ARC Infruitec-Nietvoorbij for technical support.
- Messrs Pierre Blake for permission to work in his vineyard, and Egbert Hanekom for managing the vineyard and technical assistance.
References
- Myburgh, P.A., 2018 (1st ed). Handbook for irrigation of wine grapes in South Africa. Agricultural Research Council, Pretoria, South Africa.
- Neilsen, G.H., Stevenson, D.S. & Fitzpatrick, J.J., 1989. The effect of municipal wastewater irrigation and rate of N fertilization on petiole composition, yield and quality of Okanagan Riesling grapes. Can. J. Plant. Sci. 69, 1285-1294.
- Mendoza-Espinosa, L.G., Cabello-Pasini, A., Macias-Carranza, V., Daessle-Heuser, W., Orozco-Borbón, M.V. & Quintanilla-Montoya, A.L., 2008. The effect of reclaimed wastewater on the quality and growth of grapevines. Water Sci. Technol. 57, 1445-1450.
- McCarthy, M.G., 1981. Irrigation of grapevines with sewage effluent. I. Effects on yield and petiole composition. Am. J. Enol. Vitic. 32, 189-196.
- Netzer, Y., Shenker, M. & Schwartz, M., 2014. Effects of irrigation using treated wastewater on table grape vineyards: Dynamics of sodium accumulation in soil and plant. Irrig. Sci. 32, 283-294.
- McCarthy, M.G. & Downton, W.J.S., 1981. Irrigation of grapevines with sewage effluent. II. Effects on wine composition and quality. Am. J. Enol. Vitic. 32, 197-199.
- Hoogendijk, K., 2019. Soil and grapevine responses to irrigation with treated municipal and winery wastewaters. Thesis, Stellenbosch University, Private Bag X1, 7602 Matieland (Stellenbosch), South Africa.
- Howell, C.L., Hoogendijk, K., Myburgh, P.A. & Lategan, E.L., 2022. An assessment of treated municipal wastewater used for irrigation of grapevines with respect to water quality and nutrient load. S. Afr. J. Enol. Vitic. 43, 168-179.
- Howell, C., Hoogendijk, K., Myburgh, P., Lategan, E. & Hoffman, E., 2023. Treated municipal wastewater for irrigation (Part 1): Irrigation application and water quality. Winelands. Submitted for publication.
- Howell, C., Hoogendijk, K., Myburgh, P., Lategan, E. & Hoffman, E., 2023. Treated municipal wastewater for irrigation (Part 2): Grapevine water status and vegetative responses. Winelands. Submitted for publication.
- Hoogendijk, K., Myburgh, P.A., Howell, C.L., Lategan, E.L. & Hoffman, J.E., 2023. Effect of irrigation with treated municipal wastewater on Vitis vinifera cvs. Cabernet Sauvignon and Sauvignon blanc in commercial vineyards in the Coastal Region of South Africa – Vegetative growth, yield and juice characteristics. S. Afr. J. Enol. Vitic. 44, 126-143.
- Mirás-Avalos, J.M. & Intrigliolo, D.S., 2017. Grape composition under abiotic constrains: Water stress and salinity. Front. Plant. Sci. 8, 1-8.
- Williams, L.E., 2000. Grapevine water relations. In: Raisin production manual. University of California, Agriculture & Natural Resources Publication 3393, Oakland, California, pp. 121-126.
- Van Leeuwen, C., Friant, P., Choné, X., Tregoat, O., Koundouras, S. & Dubourdieu, D., 2004. Influence of climate, soil, and cultivar on terroir. Am. J. Enol. Vitic. 55, 207-217.
- Mehmel, T.O., 2010. Effect of climate and soil water status on Cabernet Sauvignon (Vitis vinifera ) grapevines in the Swartland region with special reference to sugar loading and anthocyanin biosynthesis. Thesis, Stellenbosch University, Private Bag X1, 7602 Matieland (Stellenbosch), South Africa.
- Bruwer, R.J., 2010. The edaphic and climatic effects on production and wine quality of Cabernet Sauvignon in the Lower Olifants River region. Thesis, Stellenbosch University, Private Bag X1, 7602 Matieland (Stellenbosch), South Africa.
- Ojeda, H., Deloire, A. & Carbonneau, A., 2001. Influence of water deficits on grape berry growth. Vitis 40, 3, 141-145.
- Hardie, W.J. & Considine, J.A., 1976. Response of grapes to water-deficit stress in particular stages of development. Am. J. Enol. Vitic. 27, 55-61.
- Kliewer, W.M. & Dokoozlian, N.K., 2005. Leaf area/crop weight ratios of grapevines: Influence on fruit composition and wine quality. Am. J. Enol. Vitic. 56, 170-181.
- Van Leeuwen, C., Tregoat, O., Choné, X., Bois, B., Pernet, D. & Gaudillère, J.P., 2009. Vine water status is a key factor in grape ripening and vintage quality for red Bordeaux wine. How can it be assessed for vineyard management purposes? J. Int. Sci. Vigne Vin 43, 121-134.
- Iland, P., 1989. Grape berry composition- The influence of environmental and viticultural factors. Part 2: Solar radiation. Aust. Grapegrow Winem. April, 74-76.
- Conradie, W.J., Carey, V.A., Bonnardot, V., Saayman, D. & Van Schoor, L.H., 2002. Effect of different environmental factors on the performance of Sauvignon blanc grapevines in the Stellenbosch/Durbanville districts of South Africa. I. Geology, soil, climate, phenology and grape composition. S. Afr. J. Enol. Vitic. 23, 78-91.
- Kodur, S., 2011. Effects of juice pH and potassium on juice and wine quality, and regulation of potassium in grapevines through rootstocks (Vitis): A short review. Vitis 50, 1-6.
- Somers, T.C., 1975. In search of quality for red wines. Food Technol. Aust. 27, 49-56.
- Morris, J.R., Sims, C.A. & Cawthon, D.L., 1983. Effects of excessive potassium levels on pH, acidity and color of fresh and stored grape juice. Am. J. Enol. Vitic. 34, 35-39.
- Ruhl, E.H., 1989. Effect of potassium and nitrogen supply on the distribution of minerals and organic acids and the composition of grape juice of Sultana vines. Aust. J. Exp. Agric. 29, 133-137.
For more information, contact Carolyn Howell at howellc@arc.agric.za.
Click here to get your copy of WineLand Magazine and here to subscribe to our newsletter.