Abstract
A long-term trial was conducted in commercial vineyards in the Coastal region of South Africa to assess the impact of irrigation with treated municipal wastewater (TMW) on Cabernet Sauvignon and Sauvignon blanc vineyards. Grapevines were irrigated using TMW for 11 years. They were either rainfed (RF), irrigated with TMW via a single dripper line (SLD) or received twice the volume of wastewater via a double dripper line (DLD). Irrigation using TMW for 11 years increased soil pH(KCl), and the electrical conductivity of the saturated extract (ECe) and chloride (Cl–) compared to baseline values. Substantial amounts of sodium (Na+) and potassium (K+) also accumulated in the topsoil due to TMW irrigation. Soil K+ increases could have a negative impact on wine colour stability should the levels of soil K+ be such that grapevines excessively absorb it. In general, soil extractable sodium percentage (ESP´) increased as a result of TMW irrigation. The increase was more prominent in the subsoil layers. Results also showed that the accumulation of Na+ in the soil profile depended on the winter rainfall, i.e. between May and September. It should be noted that the results of this study represent specific in-field situations in three commercial vineyards under one set of climatic conditions. Future research should focus on the use of TMW for irrigation of vineyards or other crops on different soil types in different climatic regions.
Introduction
Frequent water shortages and below-average rainfall in the Western Cape of South Africa recently led to the worst drought the province experienced. This drought was especially detrimental to the wine industry due to the carry-over effects of water constraints on grapevine growth and yield. Therefore, water scarcity is an increasingly important challenge to the viticultural sector in the region and has emphasised the need for alternative irrigation water sources. One such alternative could be treated municipal wastewater (TMW), which has been used as a source of irrigation water in arid and semi-arid countries.1 In South Africa, approximately 2 000 ha of vineyards in the Swartland region are being irrigated with TMW.2 However, aside from the current study, no other studies have assessed the feasibility of using TMW for vineyard irrigation under South African conditions.
Although there is extensive literature available regarding the effect of irrigation with TMW on soil chemical properties,3,4 there is very little information regarding the re-use of TMW for vineyard irrigation. In this regard, soil samples from vineyards in South Australia that were irrigated by means of drip irrigation with either potable metropolitan water (mains water) or TMW for four to 11 years indicated that irrigation with TMW increased soil sodium (Na+) and magnesium (Mg2+), but reduced soil calcium (Ca2+) of a deep sand, clay loam and a hard setting sandy loam soil.5 Increased soil salinity as a response to irrigation with TMW was also reported for a vineyard in South Australia.6 In Spanish vineyards irrigated by means of drip irrigation, the use of TMW increased soil electrical conductivity of the saturated extract (ECe), nitrogen (N), potassium (K+), Na+, Mg2+ and manganese (Mn2+) compared to well water.7 Topsoil pH and ECe were also higher where TMW was used for vineyard irrigation rather than freshwater or for unirrigated pastures adjacent to vineyards.3 The soil exchangeable sodium percentage (ESP) also increased, particularly in the soil layers up to 60 cm below the soil surface.
Considering the above, the study’s objective was to assess the effects of long-term irrigation with TMW on soil chemical properties in commercial vineyards in the Coastal region of the Western Cape.
Methods
The field trial was carried out in full-bearing, commercial vineyards on a farm near Philadelphia in the Coastal region of the Western Cape from the 2006/07 until 2017/18 seasons. Three experiment sites were selected in different landscape positions. The first site was in a Sauvignon blanc vineyard located on the shoulder of a hill. The second and third sites were in two Cabernet Sauvignon vineyards situated on a back- and a footslope, respectively. Details of the characteristics of the vineyards, irrigation treatments and application, as well as an assessment of the water quality and nutrient load, were reported previously.8,9,10 Grapevine water status and vegetative and yield responses have also been reported.8,11,12,13
Baseline soil samples were taken in 2006 before wastewater irrigation commenced. Following 11 years of irrigation with TMW, soil samples were taken at budbreak (September) of the 2017/18 season. Soils were sampled in 30 cm increments to a depth of 90 cm in all plots and up to 180 cm in all treatment plots where it was possible to sample deeper. Soil chemical analyses were carried out by a commercial laboratory.
Results and discussion
On average, the topsoil pH(KCl) of the SLD and DLD plots increased by 1.3 units after 11 years of irrigation with TMW (Figure 1). The increase in pH was most likely due to the pH of the irrigation water, which varied between 6.7 and 8.0 throughout the study period.9,10 The decarboxylation and hydrolysis of organic acids and bicarbonate anions present in the TMW could also have contributed to the increased pH.14 The increased pH did not cause concern as it remained near neutral and would therefore have little effect on biological functioning.15 In addition, the pH at all of the treatment plots was within the recommended range of 5.0 to 7.5 to sustain optimal grapevine growth.16 Similar results have been reported previously15,17 where soils were irrigated with TMW.

FIGURE 1. The effect of rainfed conditions (RF) and irrigation with treated municipal wastewater via single (SLD) and double dripper lines (DLD) on the mean soil pH across the three different landscape positions after 11 years of wastewater irrigation compared to the baseline before irrigation commenced.
The mean topsoil electrical conductivity of the saturated extract (ECe) increased with the amount of TMW applied (Figure 2). However, there were no clear trends in the deeper soil layers that could be related to the different irrigation treatments compared to baseline values. The increased ECe of the topsoil indicates an accumulation of salts at the soil surface. The ECw of the TMW ranged between 0.7 dS/m and 1.2 dS/m,9,10 which could explain the increased ECe. The accumulation of salts at the soil surface is most likely a result of high evapotranspiration during the irrigation season, which concentrates the salts in the upper parts of the root zone.18 Similar results were reported for vineyard soils in Australia which were irrigated with TMW for at least five years.3 The accumulation of salts in the soil is concerning as a progressive increase in soil salinity can result in grapevine nutrient deficiencies.6,19 However, the current study’s relatively small increase in ECe after 11 years of TMW irrigation suggests that winter rainfall leached some of the applied salts beyond the measured depth. In a laboratory study where rainfall cycles were simulated, the EC of the drainage water was considerably higher than that of the input water,5 indicating a loss of salts from the soil during rainfall events. Therefore, regular rainfall events could help alleviate high soil ECe where TMW containing high salts is used for irrigation.

FIGURE 2. The effect of rainfed conditions (RF) and irrigation with treated municipal wastewater via single (SLD) and double dripper lines (DLD) on the mean soil electrical conductivity (ECe) across the three different landscape positions after 11 years of wastewater irrigation compared to the baseline before irrigation commenced.
On average, the Bray II K+ content of the 0 – 30 cm soil layer increased by 26 mg/kg, 42 mg/kg and 127 mg/kg for the RF, SLD and DLD treatments, respectively (Figure 3). An accumulation of K+ in the topsoil due to TMW irrigation has previously been reported.20,21,22 The high K+ content under DLD is of concern since an over-supply of K+ to grapevines may result in excessive K+ uptake. This could lead to musts with high pH, malate concentrations, and poor colour in red wines.23 An accumulation of K+ in the soil can also have deleterious effects on soil structure24 and negatively impact soil hydraulic conductivity (K) and infiltration rate (IR).25

FIGURE 3. The effect of rainfed conditions (RF) and irrigation with treated municipal wastewater via single (SLD) and double dripper line (DLD) on the mean Bray II extractable potassium (K) content across the three different landscape positions after 11 years of wastewater irrigation compared to the baseline before irrigation commenced.
The baseline’s mean extractable potassium percentage (EPP´) exceeded the recommended norm by far. It increased substantially in all the treatments throughout the study period (Figure 4). There was little difference between the topsoil EPP´ of the RF and SLD treatments, but the DLD was 2% higher than the other treatments. The high extractable K+ at all of the experimental sites is concerning as it could lead to greater K+ uptake by grapevines, ultimately resulting in unstable wines with high pH.23,26 In addition, high amounts of exchangeable K+ have been associated with reduced K.27,28

FIGURE 4. The effect of rainfed conditions (RF) and irrigation with treated municipal wastewater via single (SLD) and double dripper line (DLD) on the mean soil extractable potassium (EPP´) across the three different landscape positions after 11 years of wastewater irrigation compared to the baseline before irrigation commenced.
Soil extractable Na+ followed similar trends as was observed for extractable sodium percentage (ESP´), therefore only ESP´ will be discussed. On average, the topsoil ESP´ increased by 1% and 3% for the SLD and DLD treatments, respectively. In contrast, the RF treatment was 3% lower compared to the baseline (Figure 5). A steady increase in ESP´ with depth was evident for all the irrigation treatments. This is probably due to high Na+ levels present at the beginning of the study period as the subsoil ESP´ decreased in relation to the baseline, except for the SLD at 60 cm and 150 cm, as well as the DLD at 150 cm soil depth. Deeper than 60 cm, the mean ESP´ of the SLD plots were higher than the DLD. This could be explained by the larger volumes of irrigation water applied in the latter plots, which facilitated the leaching of more Na+ from the soil profile. The high ESP´ observed in the subsoil of the SLD and DLD treatments remains a concern as it may reduce the movement of water through the soil profile. Lower macro-porosity due to an accumulation of Na+ and K+ in the soil may affect the drainage capacity of soils, which in turn limits water percolation and, ultimately, the leaching of salts.29,30 In soil with a permeable A horizon overlying a moderately draining B horizon, irrigation with TMW caused a reduction in K of the soil due to the increase of exchangeable Na+ in the B horizon, which reduced the leaching of salts and led to increased soil salinity in the A horizon.31 Soil permeability problems will also occur if a solution with very low electrolyte concentration, such as rainwater, percolates through the soil.32 Therefore, applying large volumes of higher salinity water, as is the case with DLD treatments, might help mitigate the accumulation of Na+ at the soil surface and prevent reductions in K and IR.

FIGURE 5. The effect of rainfed conditions (RF) and irrigation with treated municipal wastewater via single (SLD) and double dripper line (DLD) on the mean soil extractable sodium (ESP´) across the three different landscape positions after 11 years of wastewater irrigation compared to the baseline before irrigation commenced.
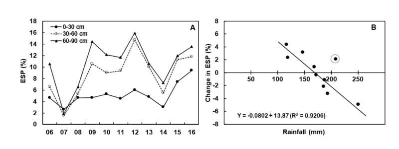
Monitoring the soil chemical status at bud break every year over 10 years showed that the soil ESP´ varied considerably over time and reached excessively high levels in the subsoil (Figure 6A). This is an alarming trend since the water sodium adsorption ratio (SAR) was on average less than 10,9,10 i.e. within the quality norms for wastewater irrigation. However, results indicated that the accumulation of Na+ in the soil profile depended on the winter rainfall, i.e. between May and September (Figure 6B). Generally, this implies that some of the salts will accumulate if the winter rainfall is low. Some will be leached into deeper layers following high winter rainfall. It must be noted that the nature of the rainfall could affect the amount of salts that will be leached. Although the total rainfall could be high, it could consist of numerous small showers. Therefore, fewer salts will be leached compared to a few heavy downpours, which will add up to the same total. This probably explains the outlier value indicated in Figure 6B.

FIGURE 6. Temporal variation in ESP in the soil at bud break (A) and the effect of winter rainfall from May to September on the change in ESP´ (B), where vineyards near Philadelphia have been irrigated using treated municipal wastewater from the Potsdam wastewater treatment works. The encircled value was regarded as an outlier.
The mean chloride (Cl–) content of the topsoil increased with the amount of TMW applied (Figure 7). The high Cl– levels were to be expected as the wastewater is disinfected by a chlorination treatment at the WWTW, resulting in a mean Cl– content in the wastewater of 160 mg/L over the 12-year study period.9,10 An accumulation of Cl– seems evident at a depth of 90 cm, but cannot necessarily be ascribed to the irrigation water, as high Cl– levels were observed in the subsoil of the RF treatments as well.

FIGURE 7. The effect of rainfed conditions (RF) and irrigation with treated municipal wastewater via single (SLD) and double dripper lines (DLD) on the mean soil chloride (Cl) content across the three different landscape positions after 11 years of treated municipal wastewater irrigation.
Conclusions
Irrigation using TMW increased soil pH and ECe. There was also an accumulation of Cl– in the topsoil, likely due to the chlorine-disinfection treatment process at the wastewater treatment works. Substantial amounts of Na+ and K+ accumulated in the topsoil due to TMW irrigation. Such soil K+ increases could have a negative impact on wine colour stability should it be taken up by the grapevine in sufficient quantities, particularly if the levels of soil K+ are such that grapevines excessively absorb it. In general, soil ESP´ increased as a result of TMW irrigation. The increase was more prominent in the subsoil layers, possibly due to the seasonal leaching of salts by rainfall. Furthermore, the application of more water at DLD treatment plots might also have contributed to more Na+ being leached from the profile compared to SLD plots. Results also showed that the accumulation of Na+ in the soil profile depended on the winter rainfall, i.e. between May and September. It should be noted that the results of this study represent specific in-field situations in three commercial vineyards under one set of climatic conditions.
Future research should focus on the use of TMW for irrigation of vineyards or other crops on different soil types in different climatic regions.
Acknowledgements
- The project was funded by the Water Research Commission (WRC), Winetech and the Agricultural Research Council (ARC).
- ARC for infrastructure and resources.
- Staff of the Soil and Water Science division at ARC Infruitec-Nietvoorbij for technical support.
- Messrs Pierre Blake for permission to work in his vineyard, and Egbert Hanekom for managing the vineyard and technical assistance.
References
- Levy, G.J., Fine, P., Goldstein, D., Azenkot, A., Zilberman, A., Chazan, A. & Grinhut, T., 2014. Long term irrigation with treated wastewater (TWW) and soil sodification. Biosyst. Eng. 128, 4-10.
- Myburgh, P.A., 2018 (1st ed). Handbook for irrigation of wine grapes in South Africa. Agricultural Research Council, Pretoria, South Africa.
- Hermon, K., 2011. The impacts of recycled water on Great Western vineyard soils. Thesis, Deakin University, 221 Burwood Highway, Burwood, 3125 Victoria, Australia.
- Hoogendijk, K., Myburgh, P.A., Howell, C.L. & Hoffman, J.E., 2023. Irrigation of agricultural crops with municipal wastewater – A review. S. Afr. J. Enol. Vitic. 44, 31-54.
- Laurenson, S., 2010. The influence of recycled water irrigation on cation dynamics in relation to the structural stability of vineyard soils. Dissertation, University of South Australia, G.P.O. Box 2471, 5001 Adelaide, Australia.
- McCarthy, M.G., 1981. Irrigation of grapevines with sewage effluent. I. Effects on yield and petiole composition. Am. J. Enol. Vitic. 32, 189-196.
- De las Heras, J. & Mañas, P., 2020. Reclaimed wastewater to irrigate olive groves and vineyards: Effects on soil properties. Agron. 10, 649.
- Hoogendijk, K., 2019. Soil and grapevine responses to irrigation with treated municipal and winery wastewaters. Thesis, Stellenbosch University, Private Bag X1, 7602 Matieland (Stellenbosch), South Africa.
- Howell, C., Hoogendijk, K., Myburgh, P., Lategan, E. & Hoffman, E., 2023. Treated municipal wastewater for irrigation (Part 1): Irrigation application and water quality. Wineland. Submitted for publication.
- Howell, C.L., Hoogendijk, K., Myburgh, P.A. & Lategan, E.L., 2022. An assessment of treated municipal wastewater used for irrigation of grapevines with respect to water quality and nutrient load. S. Afr. J. Enol. Vitic. 43, 168-179.
- Howell, C., Hoogendijk, K., Myburgh, P., Lategan, E. & Hoffman, E., 2023. Treated municipal wastewater for irrigation (Part 2): Grapevine water status and vegetative responses. Wineland. Submitted for publication.
- Howell, C., Hoogendijk, K., Myburgh, P., Lategan, E. & Hoffman, E., 2023. Treated municipal wastewater for irrigation (Part 3): Yield and juice characteristics. Wineland. Submitted for publication.
- Hoogendijk, K., Myburgh, P.A., Howell, C.L., Lategan, E.L. & Hoffman, J.E., 2023. Effect of irrigation with treated municipal wastewater on Vitis vinifera cvs. Cabernet Sauvignon and Sauvignon blanc in commercial vineyards in the Coastal Region of South Africa – Vegetative growth, yield and juice characteristics. S. Afr. J. Enol. Vitic. 44, 126-143.
- Li, Z.A., Zou, B., Xia, H.P., Ding, Y.Z., Tan, W.N. & Fu, S.L., 2008. Role of low-molecule-weight organic acids and their salts in regulating soil pH. Pedosphere 18, 137-148.
- Schipper, L.A., Williamson, J.C., Kettles, H.A. & Speir, T.W., 1996. Impact of land-applied tertiary-treated effluent on soil biochemical properties. J. Environ. Qual. 25, 1073-1077.
- Saayman, D., 1981. Grapevine nutrition (in Afrikaans). In: Burger, J.D. & Deist, J. (eds). Wingerdbou in Suid-Afrika. ARC Infruitec-Nietvoorbij, Private Bag X5026, 7599 Stellenbosch, South Africa.
- Sparling, G.P., Barton, L., Duncan, L., McGill, A., Speir, T.W., Schipper, L.A., Arnold, G. & Van Schaik, A., 2006. Nutrient leaching and changes in soil characteristics of four contrasting soils irrigated with secondary-treated municipal wastewater for four years. Aust. J. Soil Res. 44, 107-116.
- Rhoades, J.D., Ingvalson, R.D., Tucker, J.M. & Clark, M., 1973. Salts in irrigation drainage waters: I. Effects of irrigation water composition, leaching fraction, and time of year on the salt compositions of irrigation drainage waters. Soil Sci. Soc. Amer. Proc. 37, 770-774.
- Paranychianakis, N.V., Nikolantonakis, M., Spanakis, Y. & Angelakis, A.N., 2006. The effect of recycled water on the nutrient status of Soultanina grapevines grafted on different rootstocks. Agric. Water Manage. 81, 185-198.
- Heidarpour, M., Mostafazadeh-Fard, B., Abedi-Koupai, J. & Malekian, R., 2007. The effects of treated wastewater on soil chemical properties using subsurface and surface irrigation methods. Agric. Water Manage. 90, 87-94.
- Kiziloglu, F.M., Turan, M., Sahin, U., Kuslu, Y. & Dursun, A., 2008. Effects of untreated and treated wastewater irrigation on some chemical properties of cauliflower (Brassica olerecea var. botrytis) and red cabbage (Brassica olerecea L. var. rubra) grown on calcareous soil in Turkey. Agric. Water Manage. 95, 716-724.
- Singh, P.K., Deshbhratar, P.B. & Ramteke, D.S., 2012. Effects of sewage wastewater irrigation on soil properties, crop yield and environment. Agric. Water Manage. 103, 100-104.
- Mpelasoka, B., Schachtman, D.P., Treeby, M.T. & Thomas, M.R., 2003. A review of potassium nutrition in grapevines with special emphasis on berry accumulation. Aust. J. Grape Wine Res. 9, 154-168.
- Laurenson, S., Bolan, N.S., Smith, E. & McCarthy, M., 2012. Review: Use of recycled wastewater for irrigating grapevines. Aust. J. Grape Wine Res. 18, 1-10.
- Arienzo, M., Christen, E.W., Quayle, W.C. & Kumar, A., 2009. A review of the fate of potassium in the soil-plant system after land applications of wastewaters. J. Hazard. Mater. 164, 415-422.
- Gawel, R., Ewart, A. & Cirami, R., 2000. Effect of rootstock on must and wine composition and the sensory properties of Cabernet Sauvignon grown at Langhorne Creek, South Australia. Aust. N.Z. Wine Ind. J. 15, 67-72.
- Quirk, J.P. & Schofield, R.K., 1955. The effect of electrolyte concentration on soil permeability. J. Soil Sci. 6, 163-178.
- Chen, Y., Banin, A. & Borochovitch, A., 1983. Effect of potassium on soil structure in relation to hydraulic conductivity. Geoderma 30, 135-147.
- Prior, L.D., Grieve, A.M. & Cullis, B.R., 1992. Sodium chloride and soil texture interactions in irrigated field grown Sultana grapevines. I. Yield and fruit quality. Aust. J. Agric. Res. 43, 1051-1066.
- Halliwell, D.J., Barlow, K.M. & Nash, D.M., 2001. A review of the effects of wastewater sodium on soil physical properties and their implications for irrigation systems. Aust. J. Soil Res. 39, 1259-1267.
- Stevens, D.P., McLaughlin, M.J. & Smart, M.K., 2003. Effects of long-term irrigation with reclaimed water on soils of the Northern Adelaide Plains, South Australia. Aust. J. Soil Res. 41, 933-948.
- Du Plessis, H.M. & Shainberg, I., 1985. Effect of exchangeable sodium and phosphogypsum on the hydraulic properties of several South African soils. S. Afr. J. Plant Soil 2, 179-186.
For more information, contact Carolyn Howell at howellc@arc.agric.za.
Click here to get your copy of WineLand Magazine and here to subscribe to our newsletter.