Abstract
The use and availability of wastewater for irrigation have increased globally and the disposal of wastewater is governed by stringent legislations. Most wineries in South Africa dispose their wastewater through land application. The land application of winery wastewater (WWW) results in accumulation of soil potassium (K+) and sodium (Na+). This can reduce soil structural stability and hydraulic conductivity. Therefore, the objective of the study was to investigate the effect of WWW irrigation on soil chemical properties and potential environmental impacts at a new paddock at a winery near Stellenbosch where no WWW had previously been applied. Due to the high volumes of WWW irrigation plus rainfall, the inevitable over-irrigation leached large amounts of cations, particular K+ and Na+, beyond the 90 cm depth. Unfortunately, the leached elements are bound to end up in natural water resources in the long run. Irrigation with WWW did not have a pronounced effect on soil pH(KCl). The study confirmed that injudicious irrigation with untreated WWW poses a serious environmental hazard, particularly where crops in sandy soils are irrigated. Land disposal can only be recommended where the wastewater application does not exceed the water requirement of the grazing crop, or any other agricultural crop. This means that the WWW needs to be distributed on an area of land that is big enough so that the daily applications does not cause over-irrigation. Soil chemical status should be determined at least annually.
Introduction
The use and availability of wastewater for irrigation have increased globally and the disposal of wastewater is governed by stringent legislations.1 Most wineries in South Africa dispose their wastewater through land application.2 This is done by irrigating small areas of cultivated pasture with the winery wastewater (WWW) or ponding, with the former more general.3
The land application of WWW results in accumulation of soil potassium (K+) and sodium (Na+). There is also leaching of calcium (Ca2+) and magnesium (Mg2+), which leads to the long-term instability of soil structure.2,4 This will affect the soil’s hydraulic conductivity. Long-term application of WWW on pastures resulted in the accumulation of soil K+ that has the potential to leach into groundwater and other water sources.5 Although the effects of using wastewaters with high K+ concentrations for irrigation have not been researched extensively, irrigating with such K-rich wastewaters could be advantageous to overall soil fertility.6 However, the long-term application thereof could result in the alteration of physicochemical soil properties. The application of WWW with high levels of K+ and Mg2+ reduced soil structural stability and hydraulic conductivity.7
The current trend of replacing sodium hydroxide with K+-based cleaning detergents in wineries could lead to increased K+ levels in WWW.7 Accumulation of high levels of K+ in the soil is regarded as a potential problem by regulators and wine industry, because of the effect on soil structure and the accumulation of salts.8 Disposal of WWW through land application has the potential to increase levels of soluble K+ and the potassium exchange percentage (EPP) in soils as most K+ in wastewater is available immediately.9 It was previously shown that soils with low clay content retained less K+ in the exchangeable form, while soils with higher clay content retained K+ to a much greater extent.10 The application of WWW with K+ and Na+ levels of approximately 400 mg/L to pastures and woodlots over the long term resulted in the accumulation of soil K+ levels of 1 400 mg/kg.11
High levels of Na+ in the soil cause soil dispersion. Dispersion actually occurs when high-Na soils are irrigated with fresh relatively low-salinity water. It was previously believed that problems occur only when the exchangeable sodium percentage (ESP) of the soil is above 15. However, research in various countries such as Australia and South Africa has shown that in some soils Na+ causes problems at much lower ESP values, even as low as 5, with the critical value varying between soils.9,12,13
Therefore, the objective of the study was to investigate the effect of WWW irrigation on soil chemical properties and potential environmental impacts at a new paddock at a winery near Stellenbosch where no WWW had previously been applied.
Materials and methods
Details of the experimental site at a winery near Stellenbosch where no WWW had yet been applied were previously reported.1,2 The trial layout, description of the application of the WWW to the experimental site, as well as water quality have also been given previously.
Characteristics and properties of the soil at the Stellenbosch site
The soil was classified as a Kroonstad (orthic A-E-G horizon)14 soil form which is commonly found in the Stellenbosch winelands region. This specific Kroonstad soil had a bleached light grey structureless apedal sandy horizon (E horizon) beneath the topsoil to a depth of 50 cm. The grey E horizon of the Kroonstad soil turned yellow when moist (Figure 1). Below this horizon was a sticky gleyed clay layer, which indicated a zone of prolonged wetness. Thus, the soil was very poorly drained. In the 0-30 cm soil layer, the soil contained 7% clay, 6% silt and 87% sand.

FIGURE 1. The Kroonstad soil form which exhibited duplex character at a winery near Stellenbosch.
Soil sampling and analysis
Soils were collected at the demarcated plot before the start of the study in March 2011. Thereafter, samples were collected twice a year. Samples were collected in May, before the winter rainfall began and in November, after the winter rainfall season. Soil samples were collected at 0-10 cm, 10-20 cm, 20-30 cm, 30-60 cm and 60-90 cm depth layers. All analyses were carried out by a commercial laboratory according to methods described previously.2 Extractable K+ percentage (EPPʹ) and extractable Na+ percentage (ESPʹ) of the soil were calculated.
Results
Initial soil chemical status
At the beginning of the study, the soil was acidic with average pH(KCl) of 4.6 for the profile (Table 1). The P level was acceptable throughout the soil profile, but seemed slightly high for a sandy soil. The Naextr was relatively low throughout the profile compared to Kextr and Caextr which seemed to dominate the exchange capacity. The EPP’ was relatively high compared to the ESP’ which was less than 10% throughout the profile.

Soil potassium, sodium and pH
High amounts of WWW irrigation were applied in the course of the study (Figure 2A). Almost immediately, the application of WWW (May 2011) doubled the Kextr in the 0-10 cm layer, after which it remained almost constant throughout the study period (Figure 2B). The Kextr increased steadily up to May 2012 at 10-20 cm depth, after which it decreased again, to end up at almost the same level as before the start of the study. During 2013, there was an accumulation of K+ in the 90 cm soil depth indicating that K was leaching to the deeper horizons. Substantial amount of applied K+ via the WWW from November 2011 until May 2012 could be the reason for the relatively high soil K+ concentrations recorded at all depths in May 2012. The potential for K+ accumulation in soil after WWW is high, because it has a low leachability and K+ ions that are not adsorbed by plants are then adsorbed by soil particles thereby reducing the risk of leaching.9 This happened to some extent in the 0-10 cm layer in this study. The actual value is still low, probably due to the low cation exchange capacity (CEC) of the soil and thus its low capacity to retain cations. In the present study, high levels of K+ were recorded in the 90 cm depth (Figure 2B) towards the end of the sampling period, which showed that K+ had leached into the subsoil and then possibly to the water table and nearby streams through lateral flow. This also indicates a low capacity for retaining cations in the soil. The effect of K+ ions on soil structure relative to Na+ is well documented,15 but limited research data on the effect of high levels of K+ in soil due to WWW irrigation on soil structure stability is available.9
Application of WWW immediately after the start of the study in May 2011 more than doubled the soil Naextr in the 0-10 cm layer (Figure 2C). In the 10-20 and 20-30 cm layers, it also increased somewhat. Thereafter, it dropped down to its original level for the duration of the rest of the study. The Naextr trend is in line with the Na+ content in the WWW, which decreased after July 2011 and remained low during 2012 and 2013 where the average Na+ concentration in the WWW was 41 mg/L and 46.2 mg/L, respectively.2 As Na+ is not an essential element, this trend is good for environmental sustainability of WWW management.
The soil pH increased at all soil depths in response to the application of WWW throughout the sampling period (Figure 2D). It increased from 4.6 to 5.0 in the topsoil and from 5.0 to 5.3 in the subsoil. Winter rainfall (Figure 2A) had an impact on soil pH. The pH values fluctuated during winter periods throughout the study period with the exception of the 60-90 cm depth wherein it remained constant from November 2011 until November 2013 (Figure 2D). After the winter rainfall seasons, soil pH decreased. This trend was observed throughout the study period with the exception of the 60-90 cm soil depth. The fact that pH was higher in the topsoil and in the subsoil implied that organic materials supplied by the WWW could be the source of the pH increase in the topsoil, while the leaching of salts to deeper soil layers increased soil pH there. It was previously reported that soil pH increased when organic anions were mineralised and H+ ions were consumed after WWW application.16 Although application of WWW increased soil pH by more than 0.2 units, the soil pH of the irrigated area remained acidic. Long-term application of WWW could lead to pH increase over time. It was expected that the G horizon would have had greater buffering capacity to pH increase than the sandy A and E horizons, but this was not the case.

FIGURE 2. Temporal variation in (A) rainfall and winery wastewater irrigation, (B) soil K+, (C) soil Na+, and (D) soil pH(KCl) where winery wastewater was applied to a Kroonstad soil near Stellenbosch.
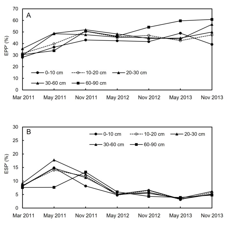
Soil EPP’ and ESP’
The EPP‘ showed an increasing trend throughout the sampling period (Figure 3A). The highest increase was in the 60-90 cm soil layer. The EPP’ showed similar trends to that of Kextr (Figure 2B). Although no measurements were done beyond 90cm depth, it is possible that the EPP‘ could be higher at lower depth. These results indicate that the duplex Kroonstad soil did not retain the K+ ions supplied via the winery wastewater.
The soil ESP’ (Figure 3B) showed similar trends to Naextr (Figure 2C). The reduction of ESP’ after May 2011 could be associated with low Na+ in the WWW, as well as low soil Na+ during a similar period (Figure 2C).

FIGURE 3. Temporal variation in soil (A) EPP’ and (B) ESP’ where winery wastewater was applied to a Kroonstad soil near Stellenbosch.
Soil calcium and magnesium
Application of WWW did not increase soil Caextr during the study period although it fluctuated between sampling periods (Figure 4A). The WWW contained too low amounts of Ca to make any significant impact in the soil to which it was applied. In addition, it should be noted that the application of WWW is unlikely to have any benefits of Ca2+ supply to agricultural crops, because it is available in too small quantities from the wastewater.
Results showed there was a slight increase of Mgextr only at 0-10 cm soil depth during November 2011, May 2012 and November 2013 (Figure 4B). The WWW contained too low amounts of Mg2+ to have any significant impact on the soil to which it was applied.

FIGURE 4. Temporal variation in soil (A) Ca2+ and (B) Mg2+ where winery wastewater was applied to a Kroonstad soil near Stellenbosch.
Soil phosphorus
Application of WWW over three years increased available soil P (Table 2). It increased from 50 mg/kg to 76 mg/kg in the topsoil layer after three years of WWW applications, while for the 90 cm soil depth, it decreased from 31 mg/kg to 22 mg/kg. Although there was P build-up over time due to WWW application, the P had accumulated in the top 60 cm. At this stage, after three years of irrigating with WWW, the soil P levels were still in the acceptable range for plant growth, i.e. the P levels were below 100 mg/kg. The magnitude of the increases in the top 60 cm within only three years indicates that irrigating with the WWW could lead to P reaching unacceptably high levels in a few more years.

Soil nutrient balances
Since there was little change in K+ levels with depth throughout the profile, it suggested that most of the applied K+ was leached beyond 90 cm. In fact, seasonal soil K+ balances showed that substantial amounts of K+ remained in solution, and were leached (Table 3). Furthermore, the cumulative leached K+ was linearly related to the cumulative irrigation plus rainfall (Figure 5). Due to the low clay content of the soil, the exchange complex could not retain large amounts of K+. Therefore, leaching of K+ beyond 90 cm was not inhibited. Although leaching of K+ in sandy or coarse-textured soils during winter rainfall reduces the risk of accumulation and dispersion, it increases environmental risks such as groundwater recharge and/or lateral flow into other freshwater resources.
A previous study showed that the K+ accumulation in soil upon WWW irrigation could be high if it is not absorbed by plants, but adsorbed to soil particles thereby reducing the possibility of leaching.9 Visual observations revealed that the grassroots did not extend beyond 30 cm depth. This suggested that the large amounts of the K+ that was applied via the wastewater could not be utilised by the grass, since it had died back.

FIGURE 5. Effect of cumulative (Σ) irrigation plus rain on cumulative K+ losses beyond 90 cm depth where a Kroonstad soil was irrigated with winery wastewater for two and a half years near Stellenbosch.
Since there was little change in Na+ levels with depth throughout the profile, it suggested that most of the applied Na+ was leached beyond 90 cm depth. Seasonal soil Na+ balances confirmed that substantial amounts of Na+ were leached (Table 4). Furthermore, the cumulative leached Na+ was linearly related to the cumulative irrigation plus rainfall (Figure 6). Similar to K+, the low clay content of the soil could not retain large amounts of Na+. Therefore, leaching of Na+ beyond 90 cm was also not inhibited. Although, leaching of Na+ from sandy or coarse-textured soils during winter rainfall also reduces the risk of accumulation and dispersion, it poses the same environmental risks as the large amounts of K+ that were leached from the soil.


FIGURE 6. Effect of cumulative (Σ) irrigation plus rain on cumulative Na+ losses beyond 90 cm depth where a Kroonstad soil was irrigated with winery wastewater for two and a half years near Stellenbosch.
Conclusions
Due to the high volumes of WWW irrigation plus rainfall, the inevitable over-irrigation leached large amounts of cations, particularly K+ and Na+, beyond the 90 cm depth. Unfortunately, the leached elements are bound to end up in natural water resources in the long run. Irrigation with WWW did not have a pronounced effect on soil pH(KCl). The study confirmed that injudicious irrigation with untreated WWW poses a serious environmental hazard, particularly where crops in sandy soils are irrigated.
Due to the risks involved as discussed above, disposal of WWW by means of irrigation is definitely not the ultimate solution to the problem. Land disposal can only be recommended where the wastewater application does not exceed the water requirement of the grazing crop, or any other agricultural crop. This means that the WWW needs to be distributed on an area of land that is big enough so that the daily applications do not cause over-irrigation. Therefore, sound wastewater management can only be achieved by means of irrigation scheduling based on frequent soil water content measurements. Care should be taken that the irrigation water does not leach beyond the root zone.
The soil chemical status should be determined at least annually. Soil samples must be collected as deep as practically possible to make sure that elements applied via the WWW do not accumulate below the root zone.
Soil responses at a winery near Rawsonville will be presented in the next article.
Acknowledgements
- This article is an output of WRC Project K5/1881, entitled “The impact of wastewater irrigation by wineries on soils, crop growth and product quality”. This solicited project was initiated, funded and managed by the WRC. The project was co-funded by Winetech and ARC.
- Goudini and Koelenhof wineries for their permission to work at their land and utilisation of their wastewater for research.
- ARC for infrastructure and resources.
- Staff of the Soil and Water Science division at ARC Infruitec-Nietvoorbij for their assistance, and in particular Mr. F. Baron for his dedicated technical support.
References
- Mulidzi, A.R., Clarke, C.E. & Myburgh, P.A., 2018. Annual dynamics of winery wastewater volumes and quality and the impact of disposal on poorly drained duplex soils. S. Afr. J. Enol. Vitic. 39, 305-314.
- Mulidzi, A.R., 2016. The effect of winery wastewater irrigation on the properties of selected soils from the South African wine region.D. dissertation. Stellenbosch University, Private Bag X1, 7602 Matieland (Stellenbosch), South Africa.
- Mulidzi, A.R., Clarke, C.E. & Myburgh, P.A., 2016. Design of a pot experiment to study the effect of irrigation with diluted winery wastewater on four differently textured soils. Water South Africa 42, 20-25.
- Mulidzi, A.R., Clarke, C.E. & Myburgh, P.A., 2020. Vulnerability of selected soils in the different rainfall areas to degradation and excessive leaching after winery wastewater application S. Afr. J. Enol. Vitic. 41, 99-122.
- Mulidzi, A.R., Clarke, C.E. & Myburgh, P.A., 2015. Effect of irrigation with diluted winery wastewater on cations and p H in four differently textured soils. S. Afr. J. Enol. Vitic. 36, 402-412.
- Mosse, K.P.M., Patti, A.F., Christen, E.W. & Cavagnaro, T.R., 2011. Review: winery wastewater quality and treatment options in Australia. Aust. J. Grape Wine Res. 17, 111-122.
- Arienzo, M., Christen, E.W., Jayawardane, N.S. & Quayle, W.C., 2012. The relative effects of sodium and potassium on soil hydraulic conductivity and implications for winery wastewater management. Geoderma, 173-174, 303-310.
- Mulidzi, A.R., Laker, G., Wooldridge, J. & Van Schoor, L., 2009. Composition of effluents from wineries in the Western and Northern Cape Provinces (Part 2): Impacts on soil and the environment. Wynboer Technical Yearbook. 62-68.
- Arienzo, M., Christen, E.W., Quayle, W. & Kumar, A., 2009. A review of the fate of potassium in the soil-plant system after land application of wastewaters. J. Hazard. Mater. 164, 415-422.
- Smiles, D.E. & Smith, C.J., 2004. A survey of the cation content of piggery effluents and some consequences of their use to irrigate soils. Aust. J. Soil Res, 42, 231-246.
- Kumar, A. & Kookana, 2006. Impact of Winery Wastewater on Ecosystem Health. Final report to GWRDC, Project CSL02/03, 139.
- Bond, W.J., 1998. Effluent irrigation – an environmental challenge for soil science. Aust. J. Soil Res. 36, 543-555.
- Laker, M.C., 2004. Advances in soil erosion, soil conservation, land suitability evaluation and land use planning research in South Africa. S. Afr.J.Plant Soil, 21, 345-368.
- Soil Classification Working Group., 1991. Soil classification: A taxonomic system for South Africa. Memoirs on the Agricultural Natural Resources of South Africa, 15. Dept of Agric Dev, Pretoria.
- Levy, G.J. & Torrento, J.R., 1995. Clay dispersion and macro aggregate stability as affected by exchangeable potassium and sodium. Soil Science 160, 352-358.
- Rukshana, F., Butterly, C.R., Baldock, J.A., Xu, J.M. & Tang, C., 2012. Model organic compounds differ in priming effects on alkalinity release in soils through carbon and nitrogen mineralisation. Soil Biol. Biochem. 51, 35-43.
For more information, contact Reckson Mulidzi at mulidzir@arc.agric.za.
Click here to get your copy of WineLand Magazine.